Poslední aktualizace :
27/04/2026
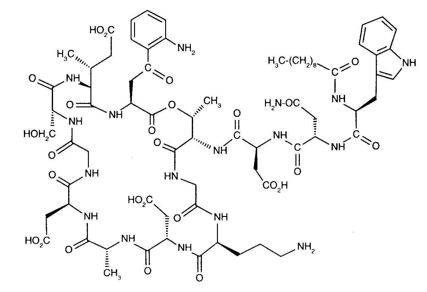
Antibiotikum   Daptomycin  
injekce
Stabilita roztoků Stabilita směsí Faktory ovlivňující stabilitu Kompatibilita Způsoby aplikace Odkazy pdf
   Chemický vzorec  

Obchodní název   Obchodní název     

Trade names are indicative and excipients composition can be different depending on the country and manufacturers

Cubicin äpanÏlsko, Argentina, Austrálie, Chile, Dánsko, Finsko, Francie, Indie, Irsko, Island, Itálie, Japonsko, Kanada, Kolumbie, Malajsie, MaÔarsko, Mexiko, NÏmecko, Nizozemsko, Norsko, nový Zéland, Polsko, Portugalsko, Rakousko, Rumunsko, Švédsko, Švýcarsko, Turecko, USA, Velká Británie, Venezuela, ÿecko
Daptomicina äpanÏlsko, Argentina, Itálie
Daptomicine Finsko, MaÔarsko, NÏmecko, Norsko, Velká Británie
Exfuno BrazÌlie, Chile
Stenkivar Nigérie
Trisk BrazÌlie
Stabilita směsí   injekce   Stabilita směsí : Daptomycin     
Obal RozpouötÏdlo Koncentrace SlouËenina Teplota Uchovávání Trvání stability Odkazy
stříkačka polypropylen RingerŐs laktátový roztok 5 mg/ml
injekce   Daptomycin   
injekce   Heparin sodium 100 UI/ml
-20°C
14 Den
Chráněno před světlem 3665
Úroveň zkoušky B
stříkačka polypropylen RingerŐs laktátový roztok 5 mg/ml
injekce   Daptomycin   
injekce   Heparin sodium 100 UI/ml
4°C
14 Den
Nespecifikováno 3665
Úroveň zkoušky B
Nespecifikováno Chlorid sodný 0,9% 16,7 mg/ml
injekce   Daptomycin   
injekce   Aztreonam 16,7 mg/ml
22°C-28°C
2 Hodina
Nespecifikováno 1937
Úroveň zkoušky C+
Nespecifikováno Chlorid sodný 0,9% 16,7 mg/ml
injekce   Daptomycin   
injekce   Ceftazidime 16,7 mg/ml
22°C-28°C
2 Hodina
Nespecifikováno 1937
Úroveň zkoušky C+
Nespecifikováno Chlorid sodný 0,9% 16,7 mg/ml
injekce   Daptomycin   
injekce   Ceftriaxone disodium 16,7 mg/ml
22°C-28°C
2 Hodina
Nespecifikováno 1937
Úroveň zkoušky C+
Nespecifikováno Chlorid sodný 0,9% 16,7 mg/ml
injekce   Daptomycin   
injekce   Lidocaine hydrochloride 3,3 mg/ml
22°C-28°C
2 Hodina
Nespecifikováno 1937
Úroveň zkoušky C+
Nespecifikováno Chlorid sodný 0,9% 18,2 mg/ml
injekce   Daptomycin   
injekce   Dopamine hydrochloride 3,6 mg/ml
22°C-28°C
2 Hodina
Nespecifikováno 1937
Úroveň zkoušky C+
Nespecifikováno Chlorid sodný 0,9% 19,2 mg/ml
injekce   Daptomycin   
injekce   Gentamicin sulfate 1,5 mg/ml
22°C-28°C
2 Hodina
Nespecifikováno 1937
Úroveň zkoušky C+
Nespecifikováno Chlorid sodný 0,9% 6,3 mg/ml
injekce   Daptomycin   
injekce   Fluconazole 1,3 mg/ml
22°C-28°C
2 Hodina
Nespecifikováno 1937
Úroveň zkoušky C+
Nespecifikováno Chlorid sodný 0,9% 19,6 mg/ml
injekce   Daptomycin   
injekce   Heparin sodium 5000 UI/ml
22°C-28°C
2 Hodina
Nespecifikováno 1937
Úroveň zkoušky C+
Nespecifikováno Chlorid sodný 0,9% 14,3 mg/ml
injekce   Daptomycin   
injekce   Levofloxacine 7,1 mg/ml
22°C-28°C
2 Hodina
Nespecifikováno 1937
Úroveň zkoušky C+

  Mentions Légales