Dernière mise à jour :
05/12/2025
Antibiotique   Daptomycin  
injectable
Stabilité des solutions Stabilité en mélange Facteur influençant la stabilité Compatibilités Voie d’administration Bibliographie pdf
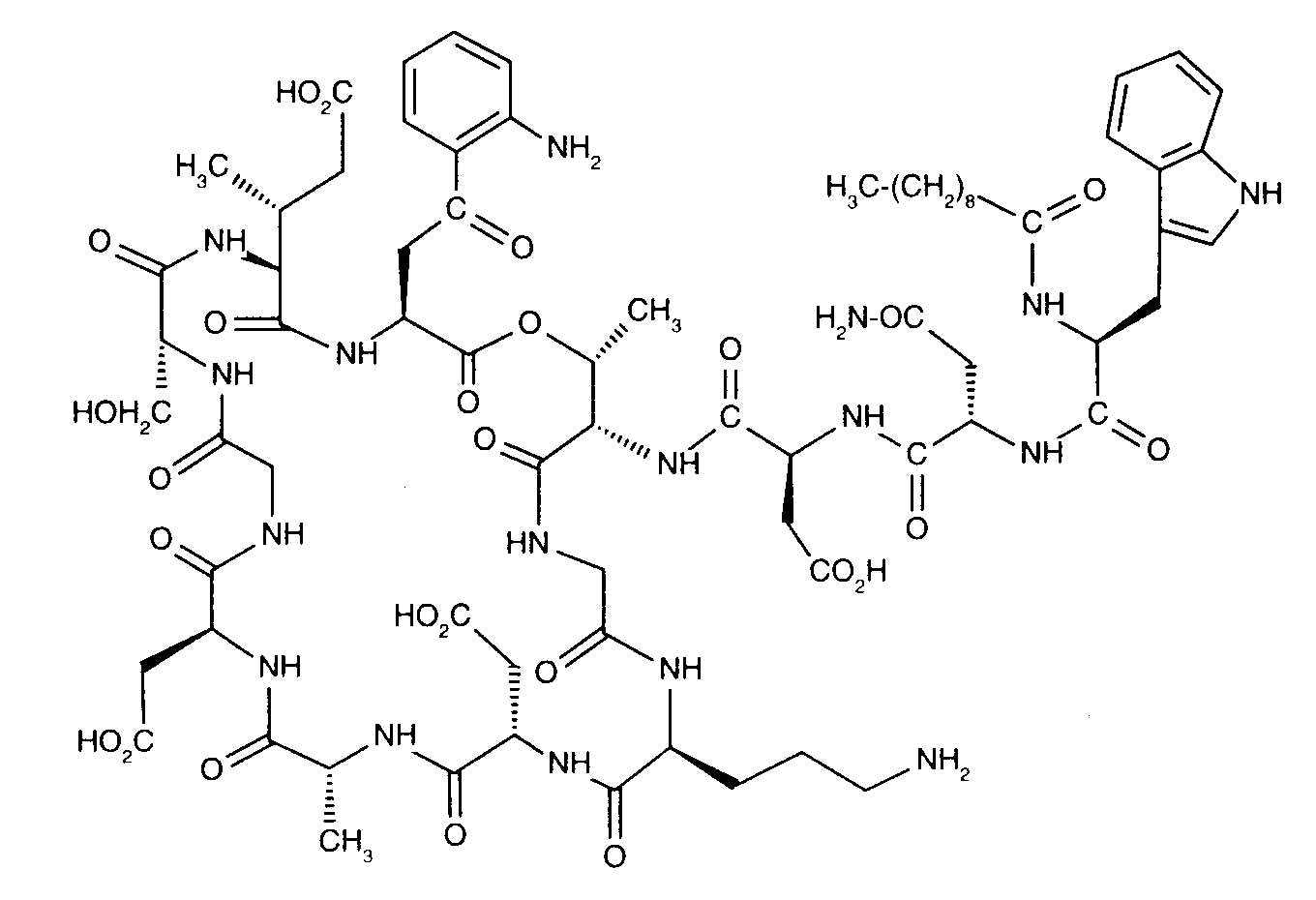
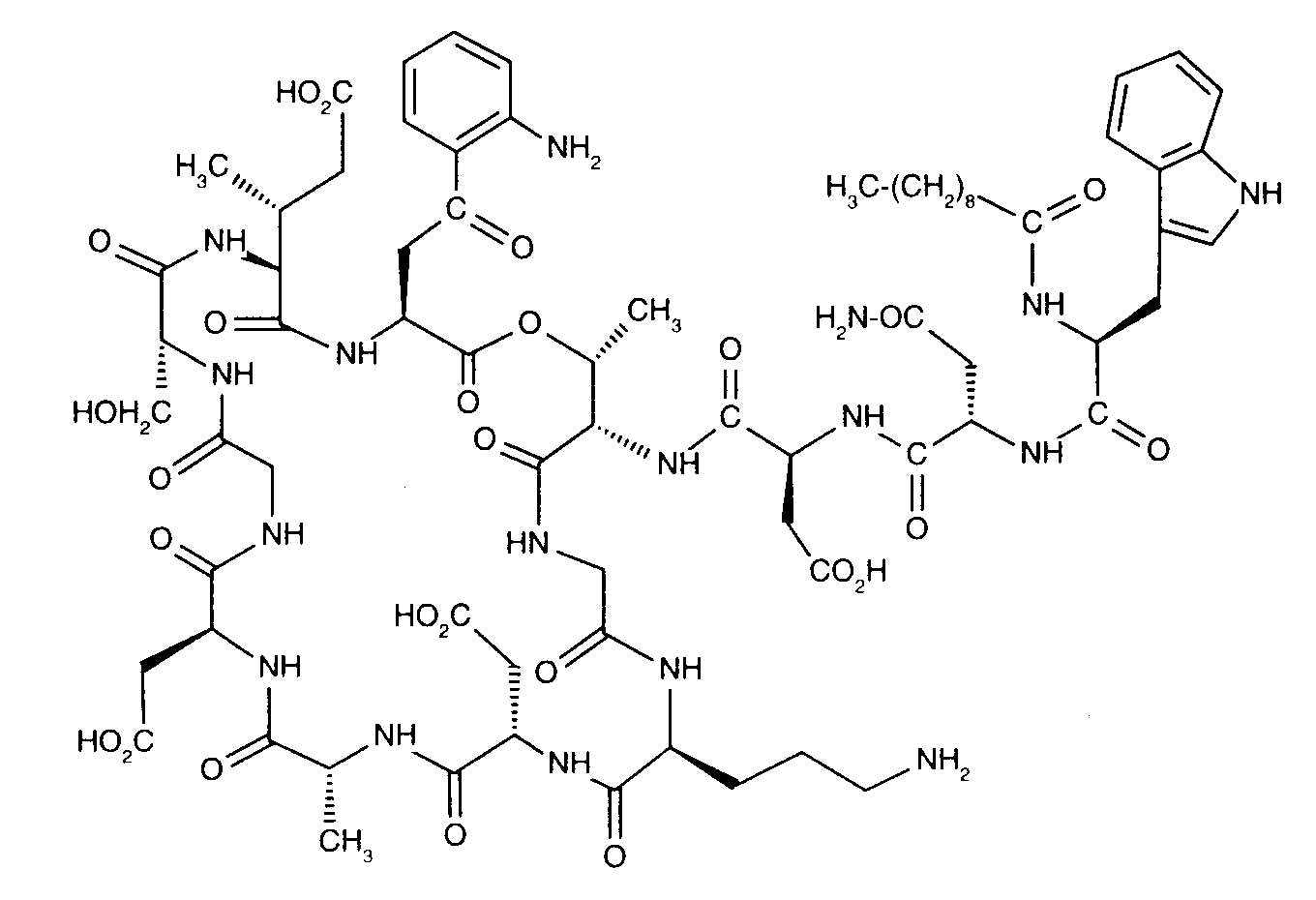
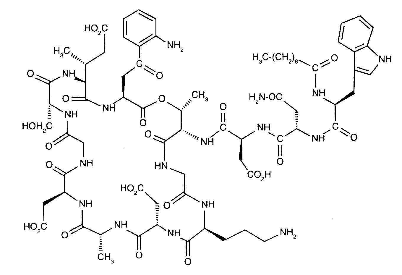
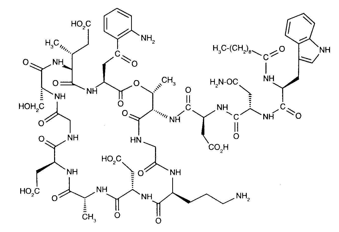
   Structure chimique  

Noms commerciaux   Noms commerciaux     

Les noms commerciaux sont donnés à titre indicatif et la composition en excipients peut être différente selon les pays et selon les laboratoires

Cubicin Allemagne, Argentine, Australie, Autriche, Canada, Chili, Colombie, Danemark, Espagne, Etats Unis d’Amérique, Finlande, France, Grande Bretagne, Grèce, Hongrie, Inde, Irlande, Islande, Italie, Japon, Malaisie, Mexique, Norvège, Nouvelle Zélande, Pays bas, Pologne, Portugal, Roumanie, Suède, Suisse, Turquie, Vénézuela
Daptomicina Argentine, Espagne, Italie
Daptomicine Allemagne, Finlande, Grande Bretagne, Hongrie, Norvège
Exfuno Brésil, Chili
Stenkivar Nigeria
Trisk Brésil
Stabilité en mélange   injectable   Stabilité en mélange : Daptomycin     
Contenant Solvant Concentration Molécule Température Conservation Durée de stabilité Bibliographie
Seringue polypropylène Ringer lactate 5 mg/ml
injectable   Daptomycin   
injectable   Heparin sodium 100 UI/ml
-20°C
14 Jour
A l’abri de la lumière 3665
Niveau de preuve B
Seringue polypropylène Ringer lactate 5 mg/ml
injectable   Daptomycin   
injectable   Heparin sodium 100 UI/ml
4°C
14 Jour
Non précisée 3665
Niveau de preuve B
Non précisé Chlorure de sodium 0,9% 16,7 mg/ml
injectable   Daptomycin   
injectable   Aztreonam 16,7 mg/ml
22°C-28°C
2 Heure
Non précisée 1937
Niveau de preuve C+
Non précisé Chlorure de sodium 0,9% 16,7 mg/ml
injectable   Daptomycin   
injectable   Ceftazidime 16,7 mg/ml
22°C-28°C
2 Heure
Non précisée 1937
Niveau de preuve C+
Non précisé Chlorure de sodium 0,9% 16,7 mg/ml
injectable   Daptomycin   
injectable   Ceftriaxone disodium 16,7 mg/ml
22°C-28°C
2 Heure
Non précisée 1937
Niveau de preuve C+
Non précisé Chlorure de sodium 0,9% 16,7 mg/ml
injectable   Daptomycin   
injectable   Lidocaine hydrochloride 3,3 mg/ml
22°C-28°C
2 Heure
Non précisée 1937
Niveau de preuve C+
Non précisé Chlorure de sodium 0,9% 18,2 mg/ml
injectable   Daptomycin   
injectable   Dopamine hydrochloride 3,6 mg/ml
22°C-28°C
2 Heure
Non précisée 1937
Niveau de preuve C+
Non précisé Chlorure de sodium 0,9% 19,2 mg/ml
injectable   Daptomycin   
injectable   Gentamicin sulfate 1,5 mg/ml
22°C-28°C
2 Heure
Non précisée 1937
Niveau de preuve C+
Non précisé Chlorure de sodium 0,9% 6,3 mg/ml
injectable   Daptomycin   
injectable   Fluconazole 1,3 mg/ml
22°C-28°C
2 Heure
Non précisée 1937
Niveau de preuve C+
Non précisé Chlorure de sodium 0,9% 19,6 mg/ml
injectable   Daptomycin   
injectable   Heparin sodium 5000 UI/ml
22°C-28°C
2 Heure
Non précisée 1937
Niveau de preuve C+
Non précisé Chlorure de sodium 0,9% 14,3 mg/ml
injectable   Daptomycin   
injectable   Levofloxacine 7,1 mg/ml
22°C-28°C
2 Heure
Non précisée 1937
Niveau de preuve C+

  Mentions Légales