Ostatnia aktualizacja :
27/04/2026
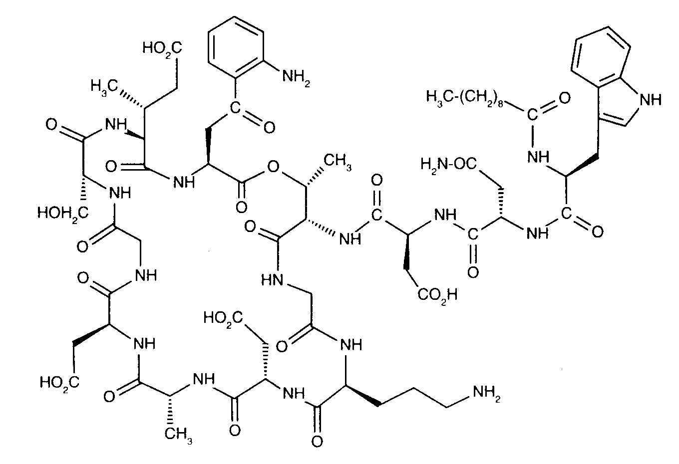
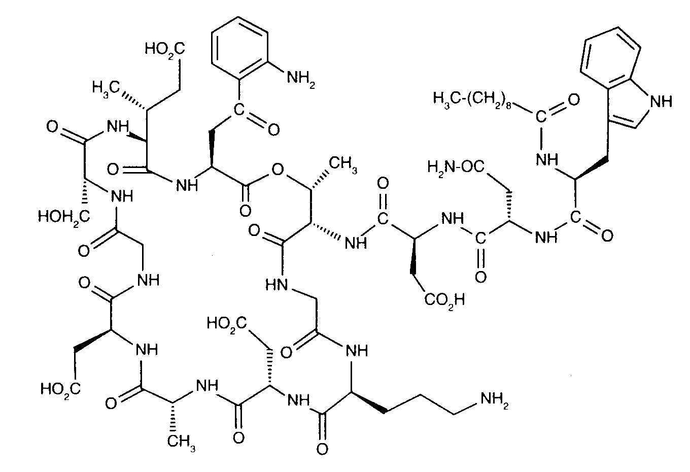
Antybiotyk   Daptomycin  
Injekcje
Trwałość roztworów Trwałość w mieszaninie Czynnik wpływający na trwałość Zgodność Sposób podania Bibliografia pdf
   Struktura chemiczna  

Nazwa handlowa   Nazwa handlowa     

Trade names are indicative and excipients composition can be different depending on the country and manufacturers

Cubicin Argentyna, Australia, Austria, Chile, Dania, Finlandia, Francja , Grecja, Hiszpania, Holandia, Indie, Irlandia, Islandia, Japonia, Kanada, KolumbiaKolumbia, Malezja, Meksyk, Niemcy, Norwegia, nowa Zelandia, Polska, Portugalia, Rumunia, Stany Zjednoczone Ameryki, Szwajcaria, Szwecja, Turcja, Węgry, Wenezuela, Wielka Brytania, Włochy
Daptomicina Argentyna, Hiszpania, Włochy
Daptomicine Finlandia, Niemcy, Norwegia, Węgry, Wielka Brytania
Exfuno Brazylia, Chile
Stenkivar Nigeria
Trisk Brazylia
Trwałość w mieszaninie   Injekcje   Trwałość w mieszaninie : Daptomycin     
Pojemnik Rozpuszczalnik Stężenie Związek Temperatura Przechowywanie Czas trwania stabilności Bibliografia
Strzykawka Roztwór Ringera z mleczanem sodowym 5 mg/ml
Injekcje   Daptomycin   
Injekcje   Heparin sodium 100 UI/ml
-20°C
14 Dzień
Chronić od światła 3665
Poziom wiarygodności B
Strzykawka Roztwór Ringera z mleczanem sodowym 5 mg/ml
Injekcje   Daptomycin   
Injekcje   Heparin sodium 100 UI/ml
4°C
14 Dzień
Nie wyszczególniony 3665
Poziom wiarygodności B
Brak informacji Chlorek sodu 0,9% 16,7 mg/ml
Injekcje   Daptomycin   
Injekcje   Aztreonam 16,7 mg/ml
22°C-28°C
2 Godzina
Nie wyszczególniony 1937
Poziom wiarygodności C+
Brak informacji Chlorek sodu 0,9% 16,7 mg/ml
Injekcje   Daptomycin   
Injekcje   Ceftazidime 16,7 mg/ml
22°C-28°C
2 Godzina
Nie wyszczególniony 1937
Poziom wiarygodności C+
Brak informacji Chlorek sodu 0,9% 16,7 mg/ml
Injekcje   Daptomycin   
Injekcje   Ceftriaxone disodium 16,7 mg/ml
22°C-28°C
2 Godzina
Nie wyszczególniony 1937
Poziom wiarygodności C+
Brak informacji Chlorek sodu 0,9% 16,7 mg/ml
Injekcje   Daptomycin   
Injekcje   Lidocaine hydrochloride 3,3 mg/ml
22°C-28°C
2 Godzina
Nie wyszczególniony 1937
Poziom wiarygodności C+
Brak informacji Chlorek sodu 0,9% 18,2 mg/ml
Injekcje   Daptomycin   
Injekcje   Dopamine hydrochloride 3,6 mg/ml
22°C-28°C
2 Godzina
Nie wyszczególniony 1937
Poziom wiarygodności C+
Brak informacji Chlorek sodu 0,9% 19,2 mg/ml
Injekcje   Daptomycin   
Injekcje   Gentamicin sulfate 1,5 mg/ml
22°C-28°C
2 Godzina
Nie wyszczególniony 1937
Poziom wiarygodności C+
Brak informacji Chlorek sodu 0,9% 6,3 mg/ml
Injekcje   Daptomycin   
Injekcje   Fluconazole 1,3 mg/ml
22°C-28°C
2 Godzina
Nie wyszczególniony 1937
Poziom wiarygodności C+
Brak informacji Chlorek sodu 0,9% 19,6 mg/ml
Injekcje   Daptomycin   
Injekcje   Heparin sodium 5000 UI/ml
22°C-28°C
2 Godzina
Nie wyszczególniony 1937
Poziom wiarygodności C+
Brak informacji Chlorek sodu 0,9% 14,3 mg/ml
Injekcje   Daptomycin   
Injekcje   Levofloxacine 7,1 mg/ml
22°C-28°C
2 Godzina
Nie wyszczególniony 1937
Poziom wiarygodności C+

  Mentions Légales