Siste oppdatering :
27/04/2026
Antibiotika   Daptomycin  
Injeksjon
Oppløsningsstabilitet Stabilitet i blandinger Faktorer som påvirker stabiliteten Kompatibilitet Administrasjonsmåte Referanser pdf
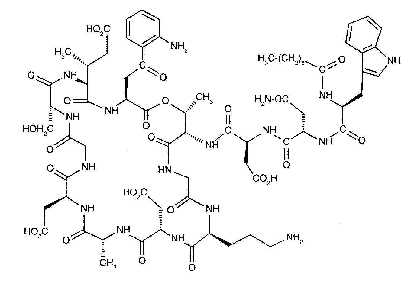
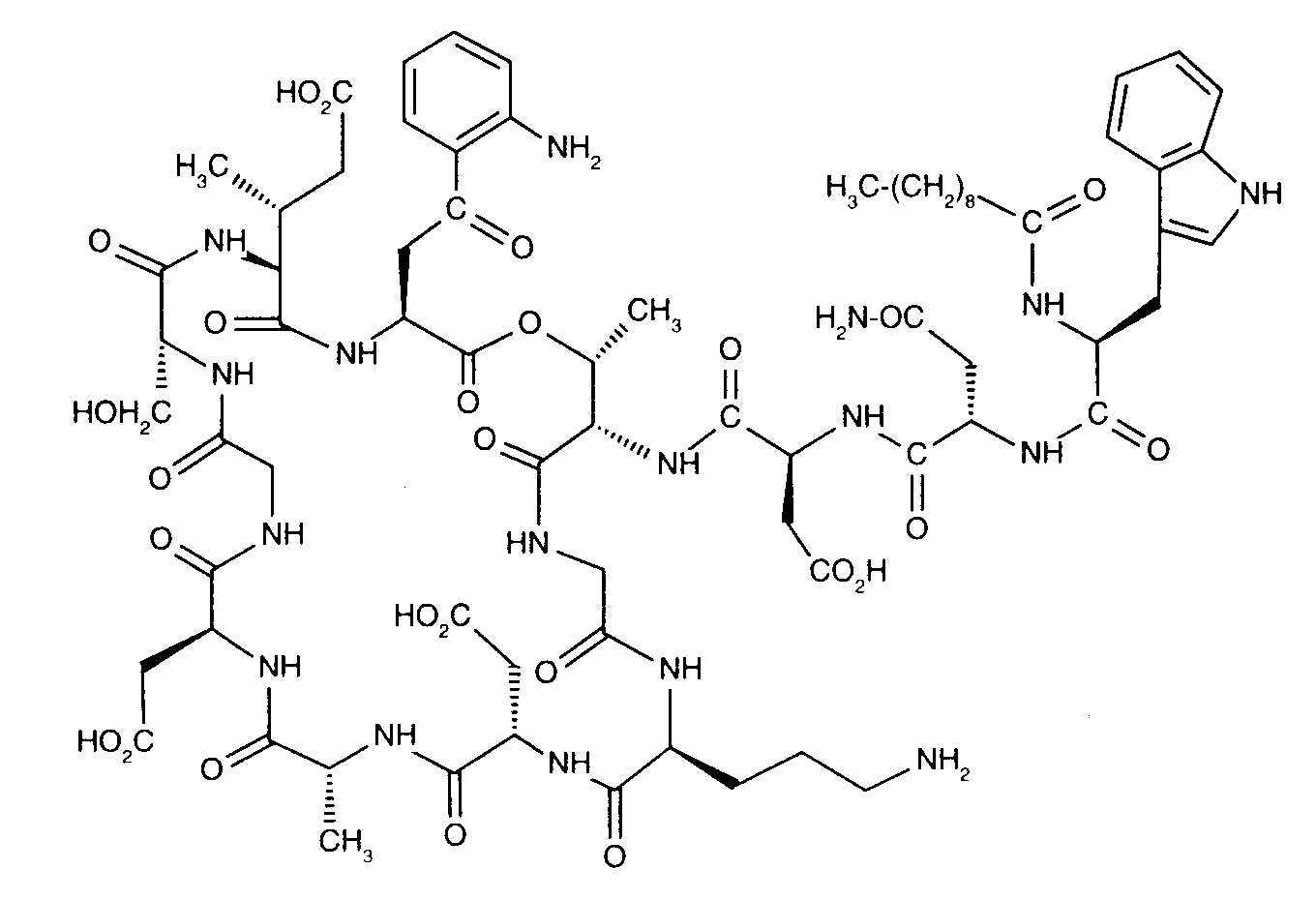
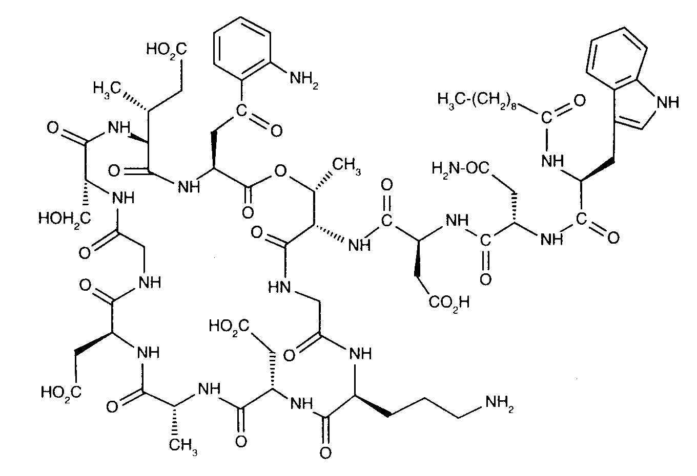
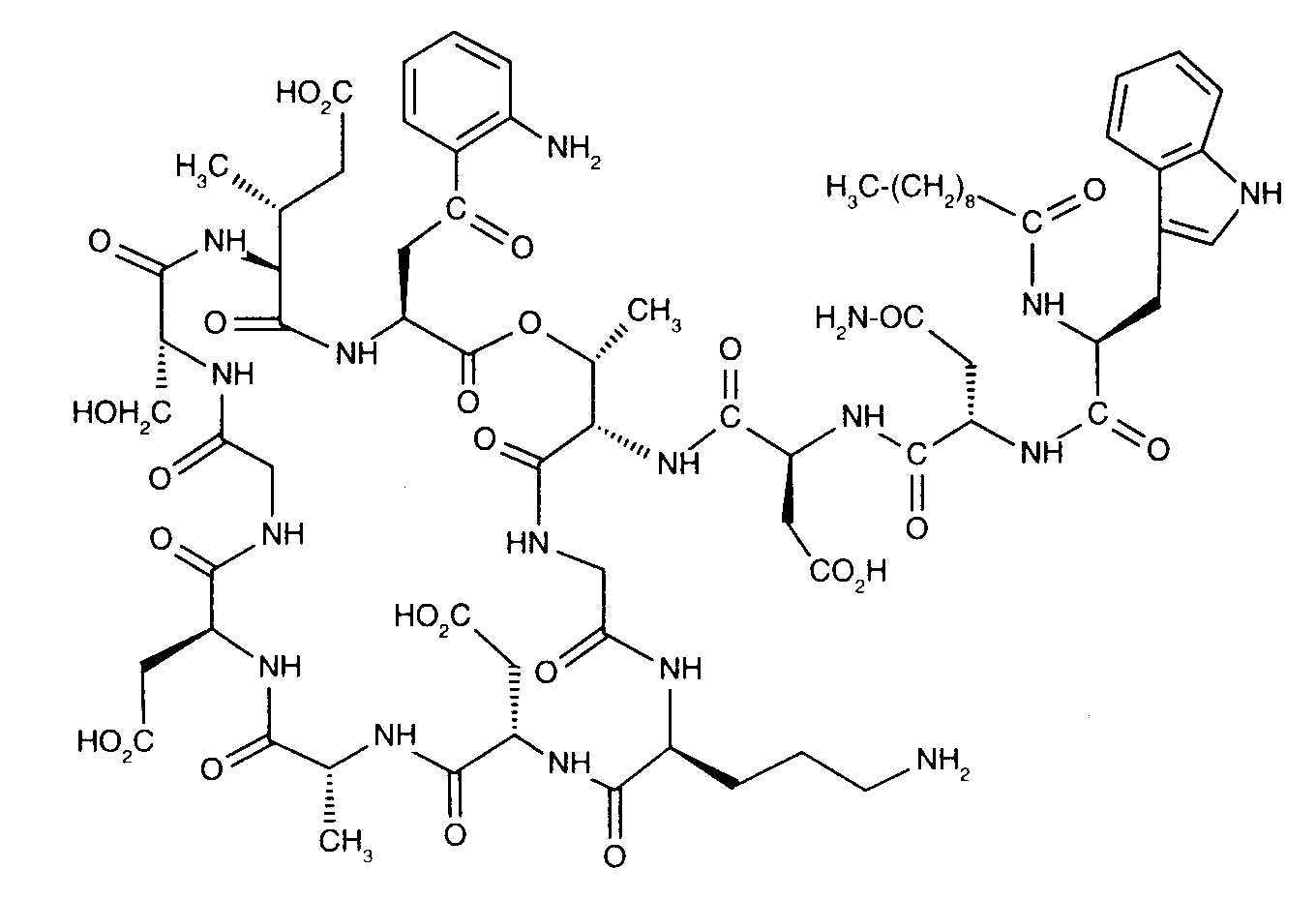
   Kjemisk struktur  

Handelsnavn   Handelsnavn     

Handelsnavn er veiledende og sammensetning av hjelpestoffer kan være forskjellig avhengig av land og produsent

Cubicin Argentina, Australia, Canada, Chile, Colombia, Danmark, Finland, Frankrike, Hellas, India, Irland, Island, Italia, Japan, Malaysia, Mexico, Nederland, New Zealand, Norge, Polen, Portugal, Romania, Spania, Storbritannia, Sveits, Sverige, Tyrkia, Tyskland, Ungarn, USA, Venezuela, Østerrike
Daptomicina Argentina, Italia, Spania
Daptomicine Finland, Norge, Storbritannia, Tyskland, Ungarn
Exfuno Brasil, Chile
Stenkivar Nigeria
Trisk Brasil
Stabilitet i blandinger   Injeksjon   Stabilitet i blandinger : Daptomycin     
Beholder Oppløsningsmiddel Konsentrasjon Legemiddel Temperatur Oppbevaring Varighet av stabilitet Referanser
Sprøyte polypropylen Ringers laktatoppløsning 5 mg/ml
Injeksjon   Daptomycin   
Injeksjon   Heparin sodium 100 UI/ml
-20°C
14 Dag
Beskyttes mot lys 3665
Bevisgrad B
Sprøyte polypropylen Ringers laktatoppløsning 5 mg/ml
Injeksjon   Daptomycin   
Injeksjon   Heparin sodium 100 UI/ml
4°C
14 Dag
Ikke angitt 3665
Bevisgrad B
Ikke angitt Natriumklorid 0,9 % 16,7 mg/ml
Injeksjon   Daptomycin   
Injeksjon   Aztreonam 16,7 mg/ml
22°C-28°C
2 Tid
Ikke angitt 1937
Bevisgrad C+
Ikke angitt Natriumklorid 0,9 % 16,7 mg/ml
Injeksjon   Daptomycin   
Injeksjon   Ceftazidime 16,7 mg/ml
22°C-28°C
2 Tid
Ikke angitt 1937
Bevisgrad C+
Ikke angitt Natriumklorid 0,9 % 16,7 mg/ml
Injeksjon   Daptomycin   
Injeksjon   Ceftriaxone disodium 16,7 mg/ml
22°C-28°C
2 Tid
Ikke angitt 1937
Bevisgrad C+
Ikke angitt Natriumklorid 0,9 % 16,7 mg/ml
Injeksjon   Daptomycin   
Injeksjon   Lidocaine hydrochloride 3,3 mg/ml
22°C-28°C
2 Tid
Ikke angitt 1937
Bevisgrad C+
Ikke angitt Natriumklorid 0,9 % 18,2 mg/ml
Injeksjon   Daptomycin   
Injeksjon   Dopamine hydrochloride 3,6 mg/ml
22°C-28°C
2 Tid
Ikke angitt 1937
Bevisgrad C+
Ikke angitt Natriumklorid 0,9 % 19,2 mg/ml
Injeksjon   Daptomycin   
Injeksjon   Gentamicin sulfate 1,5 mg/ml
22°C-28°C
2 Tid
Ikke angitt 1937
Bevisgrad C+
Ikke angitt Natriumklorid 0,9 % 6,3 mg/ml
Injeksjon   Daptomycin   
Injeksjon   Fluconazole 1,3 mg/ml
22°C-28°C
2 Tid
Ikke angitt 1937
Bevisgrad C+
Ikke angitt Natriumklorid 0,9 % 19,6 mg/ml
Injeksjon   Daptomycin   
Injeksjon   Heparin sodium 5000 UI/ml
22°C-28°C
2 Tid
Ikke angitt 1937
Bevisgrad C+
Ikke angitt Natriumklorid 0,9 % 14,3 mg/ml
Injeksjon   Daptomycin   
Injeksjon   Levofloxacine 7,1 mg/ml
22°C-28°C
2 Tid
Ikke angitt 1937
Bevisgrad C+

  Mentions Légales