Last update :
27/04/2026
Antibiotic   Daptomycin  
injection
Stability in solutions Stability of mixtures Factors which affect stability Compatibility Route of administration References pdf
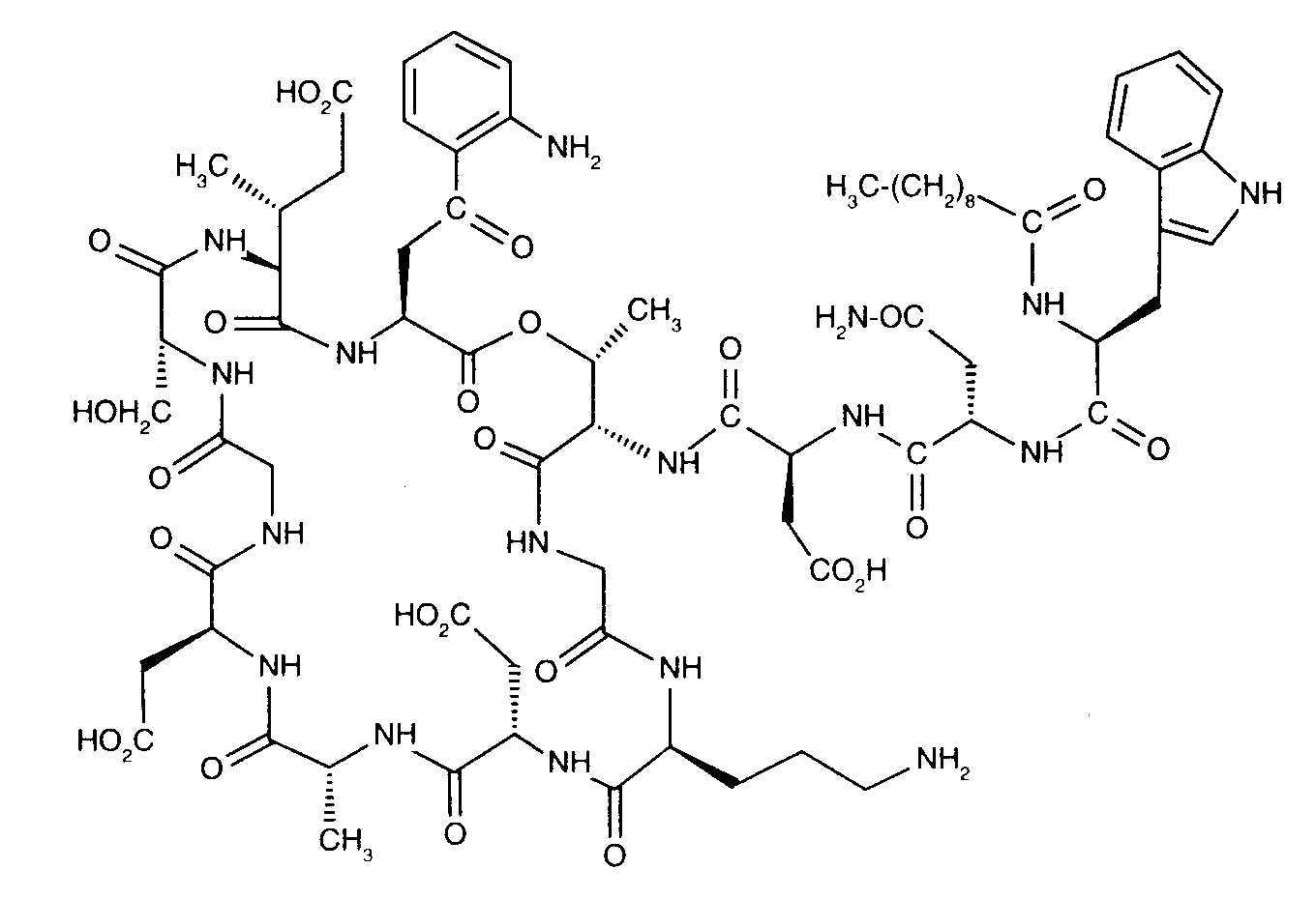
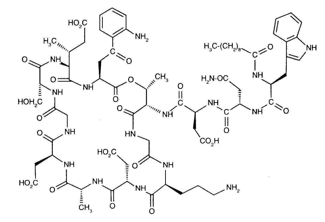
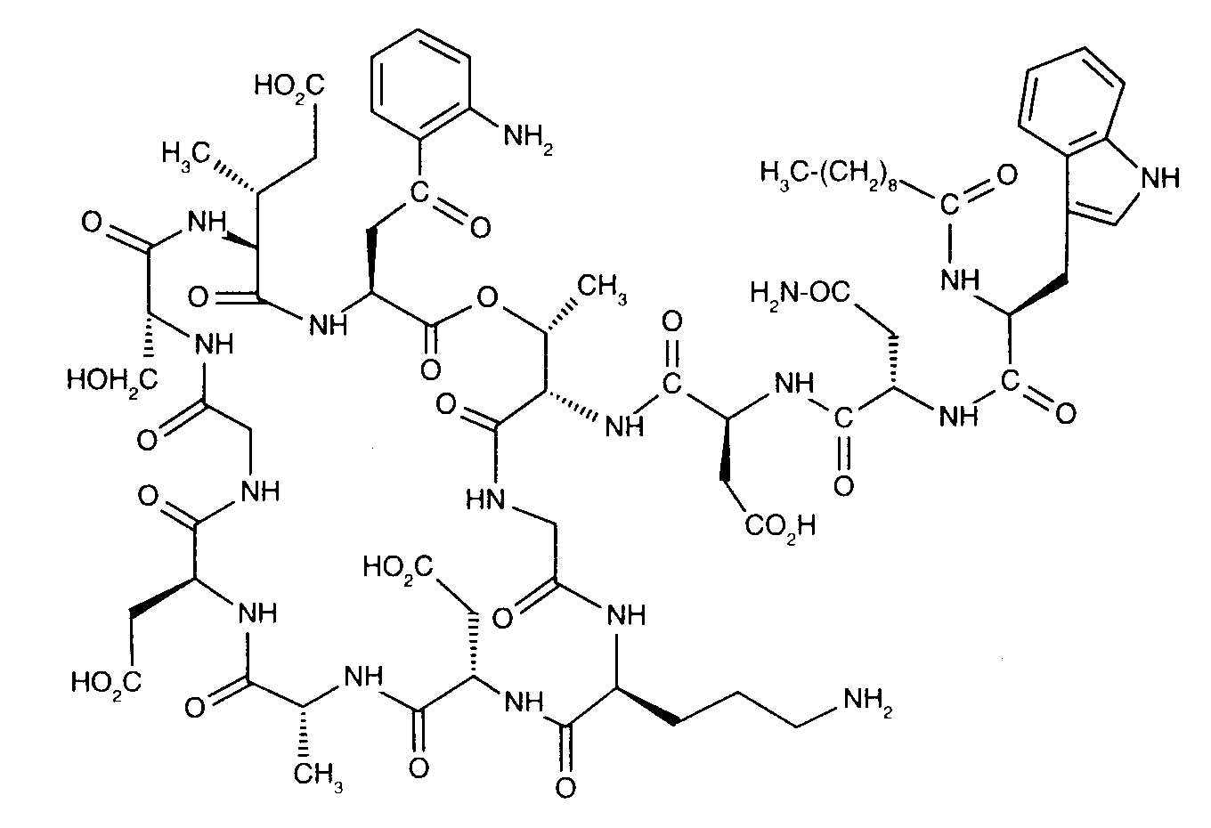
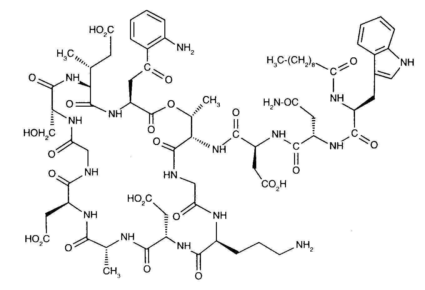
   Chemical structure  

Tradename   Tradename     

Trade names are indicative and excipients composition can be different depending on the country and manufacturers

Cubicin Argentina, Australia, Austria, Canada, Chile, Colombia, Denmark, Finland, France, Germany, Great Britain, Greece, Hungary, Iceland, India, Ireland, Italy, Japan, Malaysia, Mexico, Netherlands, New Zealand, Norway, Poland, Portugal, Romania, Spain, Sweden, Switzerland, Turkey, United States of America, Venezuela
Daptomicina Argentina, Italy, Spain
Daptomicine Finland, Germany, Great Britain, Hungary, Norway
Exfuno Brazil, Chile
Stenkivar Nigeria
Trisk Brazil
Stability of mixtures   injection   Stability of mixtures : Daptomycin     
Container Solvent Concentration Compound Temperature Storage Duration of stability References
Polypropylen Syringe Ringer’s lactate solution 5 mg/ml
injection   Daptomycin   
injection   Heparin sodium 100 UI/ml
-20°C
14 Day
Protect from light 3665
Level of evidence B
Polypropylen Syringe Ringer’s lactate solution 5 mg/ml
injection   Daptomycin   
injection   Heparin sodium 100 UI/ml
4°C
14 Day
Not specified 3665
Level of evidence B
Not specified Sodium chloride 0,9% 16,7 mg/ml
injection   Daptomycin   
injection   Aztreonam 16,7 mg/ml
22°C-28°C
2 Hour
Not specified 1937
Level of evidence C+
Not specified Sodium chloride 0,9% 16,7 mg/ml
injection   Daptomycin   
injection   Ceftazidime 16,7 mg/ml
22°C-28°C
2 Hour
Not specified 1937
Level of evidence C+
Not specified Sodium chloride 0,9% 16,7 mg/ml
injection   Daptomycin   
injection   Ceftriaxone disodium 16,7 mg/ml
22°C-28°C
2 Hour
Not specified 1937
Level of evidence C+
Not specified Sodium chloride 0,9% 16,7 mg/ml
injection   Daptomycin   
injection   Lidocaine hydrochloride 3,3 mg/ml
22°C-28°C
2 Hour
Not specified 1937
Level of evidence C+
Not specified Sodium chloride 0,9% 18,2 mg/ml
injection   Daptomycin   
injection   Dopamine hydrochloride 3,6 mg/ml
22°C-28°C
2 Hour
Not specified 1937
Level of evidence C+
Not specified Sodium chloride 0,9% 19,2 mg/ml
injection   Daptomycin   
injection   Gentamicin sulfate 1,5 mg/ml
22°C-28°C
2 Hour
Not specified 1937
Level of evidence C+
Not specified Sodium chloride 0,9% 6,3 mg/ml
injection   Daptomycin   
injection   Fluconazole 1,3 mg/ml
22°C-28°C
2 Hour
Not specified 1937
Level of evidence C+
Not specified Sodium chloride 0,9% 19,6 mg/ml
injection   Daptomycin   
injection   Heparin sodium 5000 UI/ml
22°C-28°C
2 Hour
Not specified 1937
Level of evidence C+
Not specified Sodium chloride 0,9% 14,3 mg/ml
injection   Daptomycin   
injection   Levofloxacine 7,1 mg/ml
22°C-28°C
2 Hour
Not specified 1937
Level of evidence C+

  Mentions Légales