|
|
商品名 |
|
|
商品名仅供参考, 药品所用的辅料可能依国家或厂商不同有所不同。
|
|
Cubicin |
丹麦, 冰岛, 加拿大, 匈牙利, 印度, 哥伦比亚, 土耳其, 墨西哥, 奥地利, 委内瑞拉, 希腊, 德国, 意大利, 挪威, 新西蘭, 日本, 智利, 法国, 波兰, 澳大利亚, 爱尔兰, 瑞典, 瑞士, 罗马尼亚, 美国, 芬兰, 英国, 荷兰, 葡萄牙, 西班牙, 阿根廷, 马来西亚 |
|
Daptomicina |
意大利, 西班牙, 阿根廷 |
|
Daptomicine |
匈牙利, 德国, 挪威, 芬兰, 英国 |
|
Exfuno |
巴西, 智利 |
|
Stenkivar |
尼日利亞 |
|
Trisk |
巴西 |
|
|
|
|
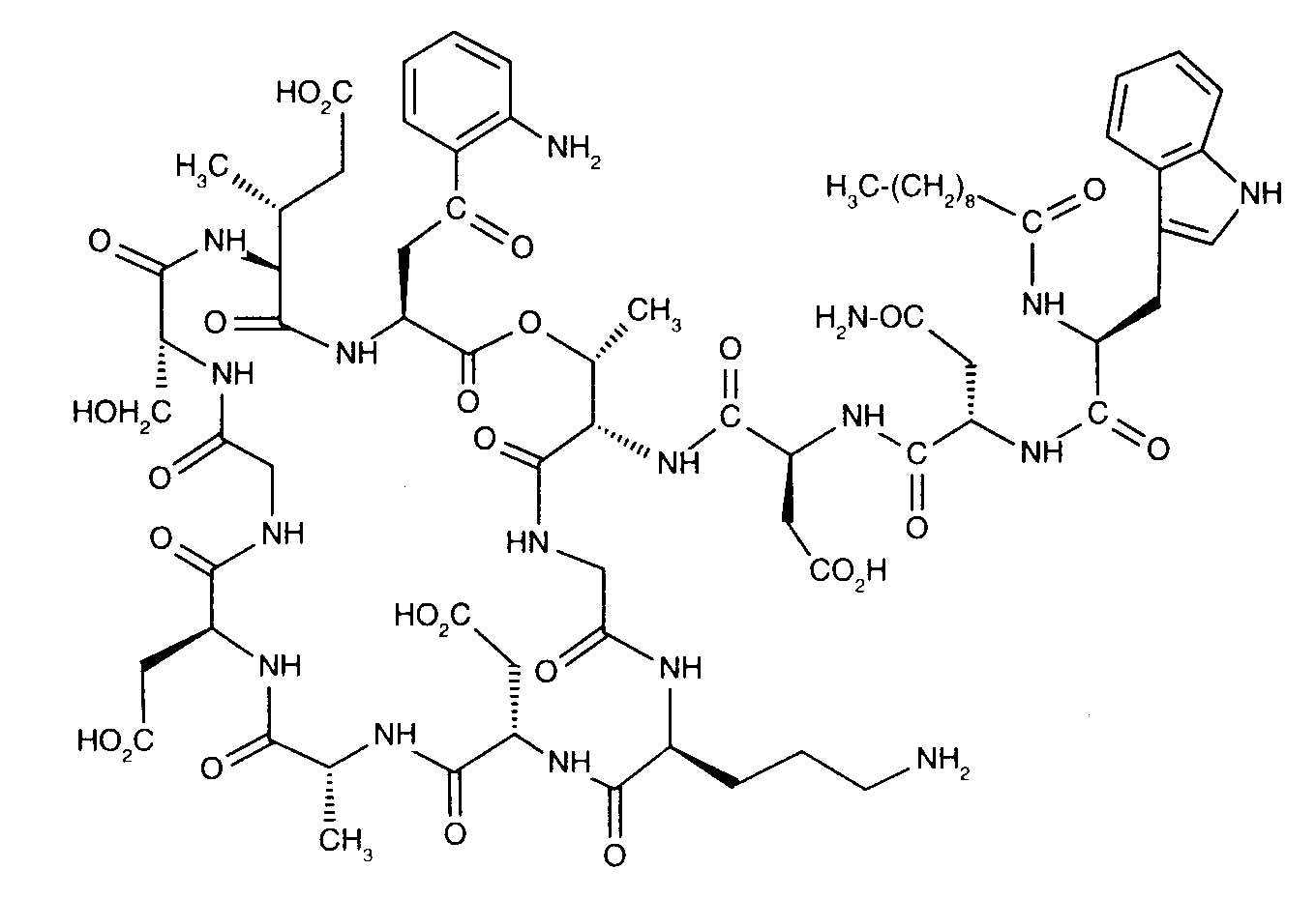
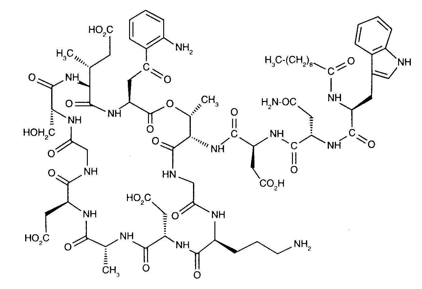
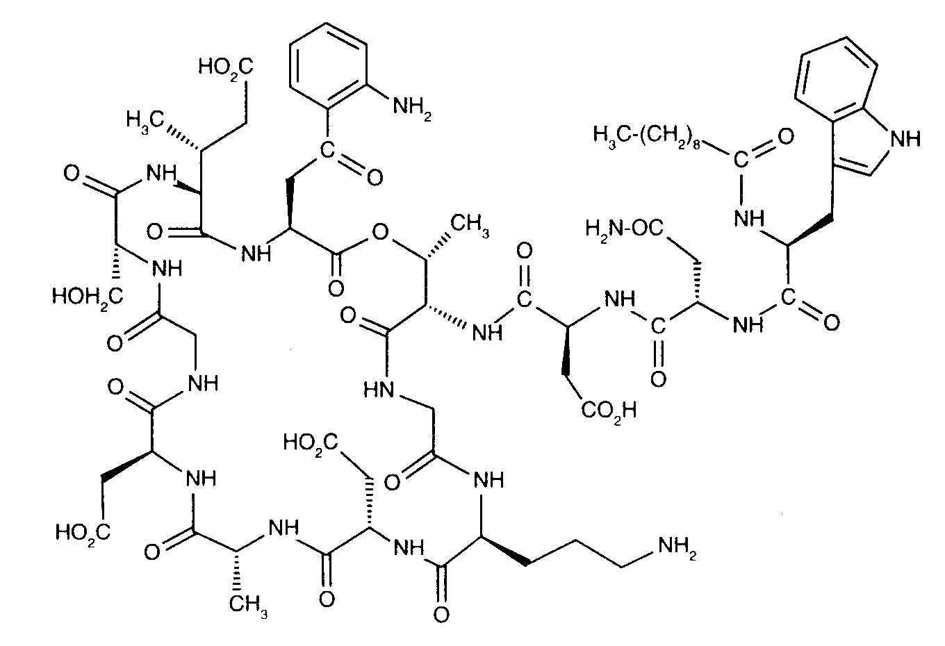
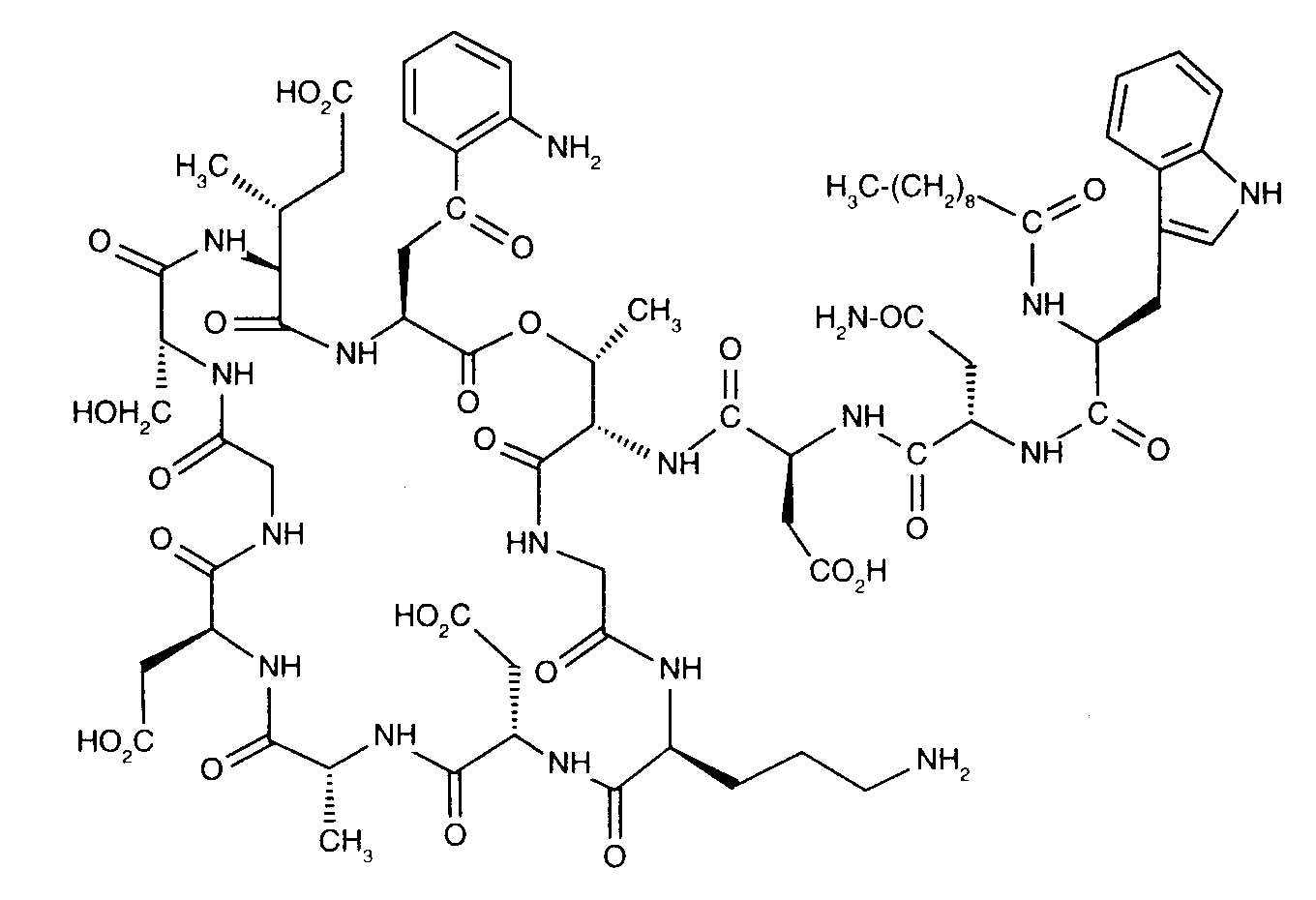
混合物稳定性 : Daptomycin |
|
|
 |
 |
 |
 |
 |
 |
 |
 |
 |
 |
5 mg/ml |
|
-20°C |
| 14 |
 |
|
 |
3665
|
 |
 |
5 mg/ml |
|
4°C |
| 14 |
 |
|
 |
3665
|
 |
 |
16,7 mg/ml |
|
22°C-28°C |
| 2 |
 |
|
 |
1937
|
 |
 |
16,7 mg/ml |
|
22°C-28°C |
| 2 |
 |
|
 |
1937
|
 |
 |
16,7 mg/ml |
|
22°C-28°C |
| 2 |
 |
|
 |
1937
|
 |
 |
16,7 mg/ml |
|
22°C-28°C |
| 2 |
 |
|
 |
1937
|
 |
 |
18,2 mg/ml |
|
22°C-28°C |
| 2 |
 |
|
 |
1937
|
 |
 |
19,2 mg/ml |
|
22°C-28°C |
| 2 |
 |
|
 |
1937
|
 |
 |
6,3 mg/ml |
|
22°C-28°C |
| 2 |
 |
|
 |
1937
|
 |
 |
19,6 mg/ml |
|
22°C-28°C |
| 2 |
 |
|
 |
1937
|
 |
 |
14,3 mg/ml |
|
22°C-28°C |
| 2 |
 |
|
 |
1937
|
|
|