Senaste uppdateringen :
27/04/2026
Antibiotikum   Daptomycin  
injektion
Lösningars stabilitet Stabilitet i blandningar Faktorer som påverkar stabiliteten Kompatibilitet Administreringssätt Hänvisningar pdf
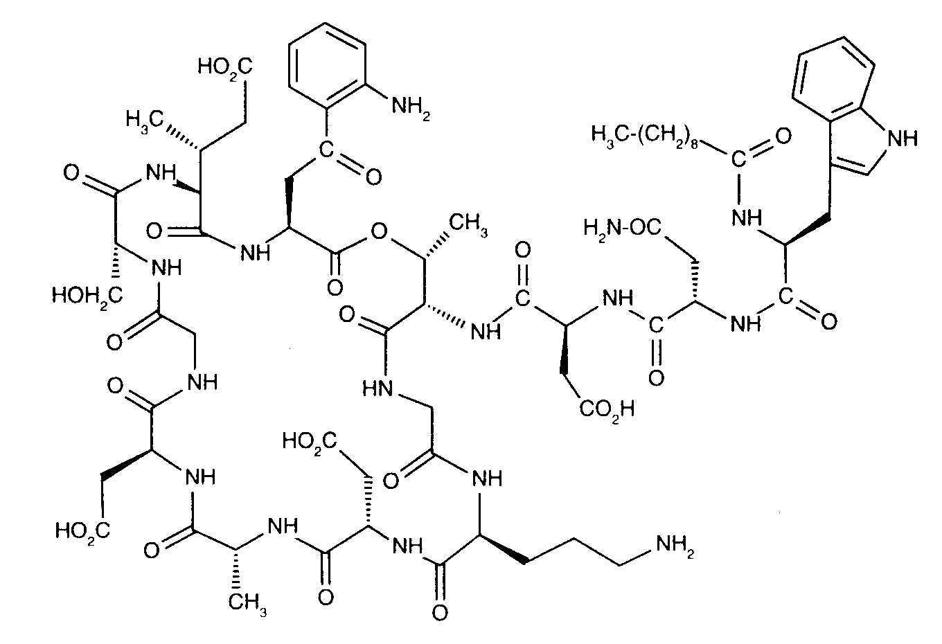
   Molekylstruktur  

Varunamn   Varunamn     

Angivna handelsnamn på läkemedel är enbart vägledande då formulering inklusive hjälpämnen kan variera mellan länder och tillverkare

Cubicin Argentina, Australien, Chile, Colombia, Danmark, Finland, Förenta Staterna, Frankrike, Grekland, Indien, Irland, Island, Italien, Japan, Kanada, Malaysia, Mexiko, Nederländerna, Norge, nya Zeeland, Österrike, Polen, Portugal, Rumänien, Schweiz, Spanien, Storbritannien, Sverige, Turkiet, Tyskland, Ungern, Venezuela
Daptomicina Argentina, Italien, Spanien
Daptomicine Finland, Norge, Storbritannien, Tyskland, Ungern
Exfuno Brasilien, Chile
Stenkivar Nigeria
Trisk Brasilien
Stabilitet i blandningar   injektion   Stabilitet i blandningar : Daptomycin     
Behållare Lösningsmedel Koncentration Substans Temperatur Förvaring Stabilitets varaktighet Hänvisningar
Spruta polypropen Ringer-laktatlösning 5 mg/ml
injektion   Daptomycin   
injektion   Heparin sodium 100 UI/ml
-20°C
14 Dag
Skyddas från ljus 3665
Evidensnivå B
Spruta polypropen Ringer-laktatlösning 5 mg/ml
injektion   Daptomycin   
injektion   Heparin sodium 100 UI/ml
4°C
14 Dag
Ej angiven 3665
Evidensnivå B
Ej angiven Natriumklorid 0,9 % 16,7 mg/ml
injektion   Daptomycin   
injektion   Aztreonam 16,7 mg/ml
22°C-28°C
2 Timma
Ej angiven 1937
Evidensnivå C+
Ej angiven Natriumklorid 0,9 % 16,7 mg/ml
injektion   Daptomycin   
injektion   Ceftazidime 16,7 mg/ml
22°C-28°C
2 Timma
Ej angiven 1937
Evidensnivå C+
Ej angiven Natriumklorid 0,9 % 16,7 mg/ml
injektion   Daptomycin   
injektion   Ceftriaxone disodium 16,7 mg/ml
22°C-28°C
2 Timma
Ej angiven 1937
Evidensnivå C+
Ej angiven Natriumklorid 0,9 % 16,7 mg/ml
injektion   Daptomycin   
injektion   Lidocaine hydrochloride 3,3 mg/ml
22°C-28°C
2 Timma
Ej angiven 1937
Evidensnivå C+
Ej angiven Natriumklorid 0,9 % 18,2 mg/ml
injektion   Daptomycin   
injektion   Dopamine hydrochloride 3,6 mg/ml
22°C-28°C
2 Timma
Ej angiven 1937
Evidensnivå C+
Ej angiven Natriumklorid 0,9 % 19,2 mg/ml
injektion   Daptomycin   
injektion   Gentamicin sulfate 1,5 mg/ml
22°C-28°C
2 Timma
Ej angiven 1937
Evidensnivå C+
Ej angiven Natriumklorid 0,9 % 6,3 mg/ml
injektion   Daptomycin   
injektion   Fluconazole 1,3 mg/ml
22°C-28°C
2 Timma
Ej angiven 1937
Evidensnivå C+
Ej angiven Natriumklorid 0,9 % 19,6 mg/ml
injektion   Daptomycin   
injektion   Heparin sodium 5000 UI/ml
22°C-28°C
2 Timma
Ej angiven 1937
Evidensnivå C+
Ej angiven Natriumklorid 0,9 % 14,3 mg/ml
injektion   Daptomycin   
injektion   Levofloxacine 7,1 mg/ml
22°C-28°C
2 Timma
Ej angiven 1937
Evidensnivå C+

  Mentions Légales