Останнє оновлення :
27/04/2026
Антибіотик   Daptomycin  
ін'єкція
Стійкість в розчинах Стійкість сумішей Фактори, що впливають на стабільність Сумісність Шлях введення Список літератури pdf
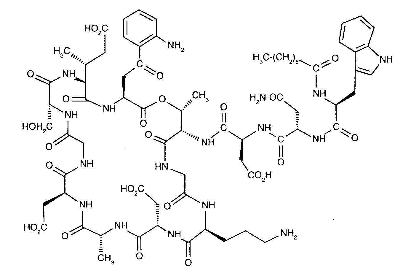
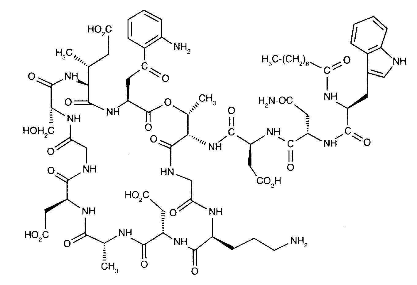
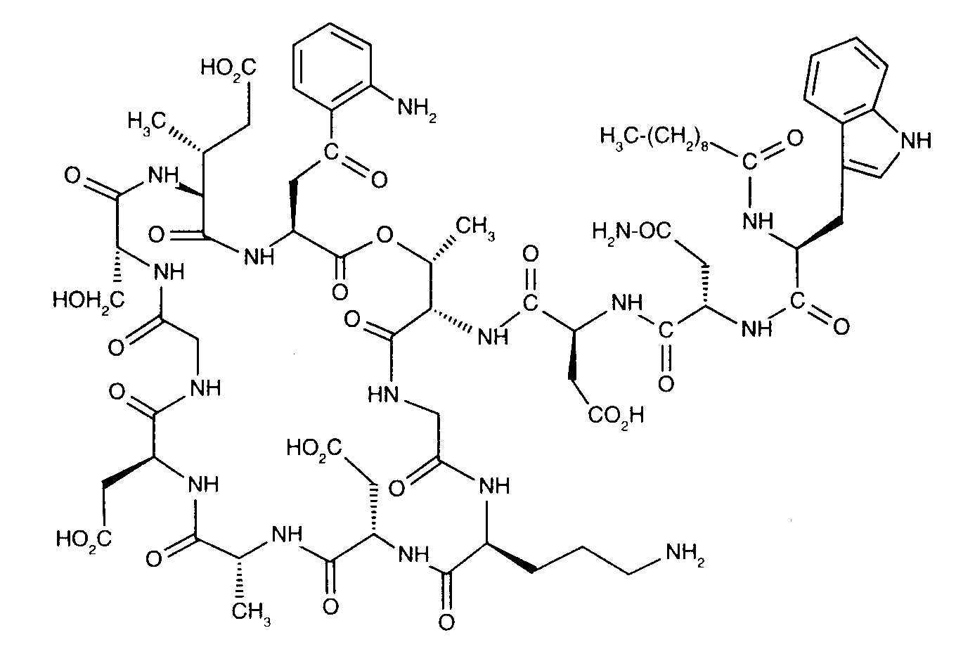
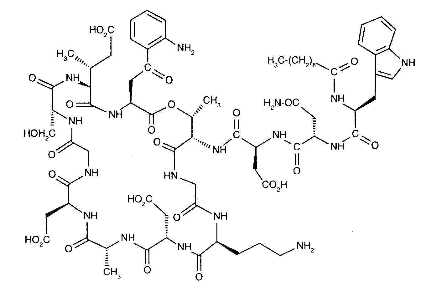
   Хімічна структура  

Торгова назва   Торгова назва     

Торгові назви є орієнтовними, а склад допоміжних речовин може бути різним залежно від країни та виробника

Cubicin Індія, Ірландія, Ісландія, Іспанія, Італія, Австрія, Австралія, Аргентина, Великобританія, Венесуела, Греція, Данія, Канада, Колумбія, Малайзія, Мексика, Нідерланди, Німеччина, Нова Зеландія, Норвегія, Польща, Португалія, Румунія, Сполучені Штати Америки, Туреччина, Угорщина, Фінляндія, Франція, Чилі, Швейцарія, Швеція, Японія
Daptomicina Іспанія, Італія, Аргентина
Daptomicine Великобританія, Німеччина, Норвегія, Угорщина, Фінляндія
Exfuno Бразилія, Чилі
Stenkivar Нігерія
Trisk Бразилія
Стійкість сумішей   ін'єкція   Стійкість сумішей : Daptomycin     
Контейнер Розчинник Концентрація З'єднання температура Зберігання Тривалість стабільності Список літератури
Поліпропіленовий шприц Розчин лактату Рінгера 5 mg/ml
ін'єкція   Daptomycin   
ін'єкція   Heparin sodium 100 UI/ml
-20°C
14 День
Берегти від світла 3665
Рівень доказовості B
Поліпропіленовий шприц Розчин лактату Рінгера 5 mg/ml
ін'єкція   Daptomycin   
ін'єкція   Heparin sodium 100 UI/ml
4°C
14 День
Не визначено 3665
Рівень доказовості B
Не визначено Натрію хлорид 0,9% 16,7 mg/ml
ін'єкція   Daptomycin   
ін'єкція   Aztreonam 16,7 mg/ml
22°C-28°C
2 годину
Не визначено 1937
Рівень доказовості C+
Не визначено Натрію хлорид 0,9% 16,7 mg/ml
ін'єкція   Daptomycin   
ін'єкція   Ceftazidime 16,7 mg/ml
22°C-28°C
2 годину
Не визначено 1937
Рівень доказовості C+
Не визначено Натрію хлорид 0,9% 16,7 mg/ml
ін'єкція   Daptomycin   
ін'єкція   Ceftriaxone disodium 16,7 mg/ml
22°C-28°C
2 годину
Не визначено 1937
Рівень доказовості C+
Не визначено Натрію хлорид 0,9% 16,7 mg/ml
ін'єкція   Daptomycin   
ін'єкція   Lidocaine hydrochloride 3,3 mg/ml
22°C-28°C
2 годину
Не визначено 1937
Рівень доказовості C+
Не визначено Натрію хлорид 0,9% 18,2 mg/ml
ін'єкція   Daptomycin   
ін'єкція   Dopamine hydrochloride 3,6 mg/ml
22°C-28°C
2 годину
Не визначено 1937
Рівень доказовості C+
Не визначено Натрію хлорид 0,9% 19,2 mg/ml
ін'єкція   Daptomycin   
ін'єкція   Gentamicin sulfate 1,5 mg/ml
22°C-28°C
2 годину
Не визначено 1937
Рівень доказовості C+
Не визначено Натрію хлорид 0,9% 6,3 mg/ml
ін'єкція   Daptomycin   
ін'єкція   Fluconazole 1,3 mg/ml
22°C-28°C
2 годину
Не визначено 1937
Рівень доказовості C+
Не визначено Натрію хлорид 0,9% 19,6 mg/ml
ін'єкція   Daptomycin   
ін'єкція   Heparin sodium 5000 UI/ml
22°C-28°C
2 годину
Не визначено 1937
Рівень доказовості C+
Не визначено Натрію хлорид 0,9% 14,3 mg/ml
ін'єкція   Daptomycin   
ін'єкція   Levofloxacine 7,1 mg/ml
22°C-28°C
2 годину
Не визначено 1937
Рівень доказовості C+

  Mentions Légales