Cập nhật lần cuối :
27/04/2026
Thuốc giãn mạch   Alprostadil  
Dạng tiêm
Tính ổn định của các dung dịch Độ ổn định khi trộn lẫn Những yếu tố ảnh hưởng đến độ ổn định Khả năng tương thích Đường dùng Tài liệu tham khảo Pdf
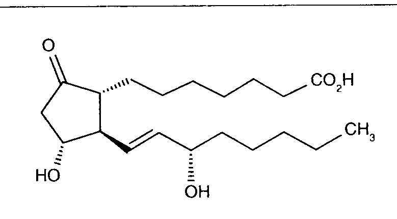
   Cấu trúc hóa học  

Tên thương mại   Tên thương mại     

Các tên thương mại được cung cấp và thành phần tá dược có thể khác nhau giữa các quốc gia và các hãng dược

Alfaprostin Ả Rập
Alistint Mexico, Peru
Alprostadil Ả Rập Saudi, Argentina, Canada, Chile, Ecuador, Hoa Kỳ, Malaysia, Peru, Romania, Tây Ban Nha, Thổ Nhĩ Kỳ, Úc, Đức
Alprostapint Áo, Argentina, Colombia, Ecuador, Hungary, Peru
Alprostar Ý
Aplicav
Cardiobonisol Ba Lan
Caverject Anh, Áo, Ba Lan, Bỉ, Bồ Đào Nha, Brazil, Canada, Chile, Colombia, Hoa Kỳ, Na Uy, Pháp, Slovenia, Tây Ban Nha, Thổ Nhĩ Kỳ, Thụy Sỹ, Thụy Điển, United Arab Emirates, Ý, Đan Mạch
Edex Hoa Kỳ, Hy Lạp, Pháp, Tunisia
Liple Nhật
Minprog Áo, Đức
Ostapint Mexico, Peru
Palux Nhật
Pridax Áo, Romania, Tây Ban Nha, Đức
Prolisina VR Argentina
Prostandin Nhật
Prostavasin Ả Rập, Áo, Ba Lan, Hungary, Iran, Luxembourg, Ý, Đức
Prostin VR Ả Rập Saudi, Anh, Ba Lan, Bỉ, Bồ Đào Nha, Canada, Colombia, Croatia, Hà Lan, Hoa Kỳ, Hungary, Hy Lạp, Iran, Luxembourg, Malaysia, Na Uy, Phần Lan, Thụy Sỹ, Venezuela, Ý, Đan Mạch
Prostine VR Pháp
Vasaprostan Romania
Độ ổn định khi trộn lẫn   Dạng tiêm   Độ ổn định khi trộn lẫn : Alprostadil     
Bao bì Dung môi Nồng độ Phân tử Nhiệt độ Bảo quản Thời gian ổn định Mục lục
Thủy tinh NaCl 0,9% + chất kháng khuẩn 12,5 µg/ml
Dạng tiêm   Alprostadil   
Dạng tiêm   Papaverine hydrochloride 4,5 mg/ml
Dạng tiêm   Phentolamine mesylate 0,125 mg/ml
-20°C
180 Ngày
Tránh ánh sáng 1899
Cấp độ bằng chứng A
Thủy tinh NaCl 0,9% + chất kháng khuẩn 12,5 µg/ml
Dạng tiêm   Alprostadil   
Dạng tiêm   Papaverine hydrochloride 4,5 mg/ml
Dạng tiêm   Phentolamine mesylate 0,125 mg/ml
4°C
30 Ngày
Tránh ánh sáng 1899
Cấp độ bằng chứng A
Nhựa polypropylen NaCl 0,9% 15 µg/ml
Dạng tiêm   Alprostadil   
Dạng tiêm   Papaverine hydrochloride 15 mg/ml
Dạng tiêm   Urapidil 2 mg/ml
2-8°C
55 Ngày
Tránh ánh sáng 3448
Cấp độ bằng chứng B

  Mentions Légales