Pēdējā atjaunošana :
27/04/2026
Vazodiletators   Alprostadil  
Injekcija
Šķīduma stabilitāte Maisījuma stabilitāte Stabilitāti ietekmējoši faktori Saderība Levadīšanas veids Literatūras saraksts pdf
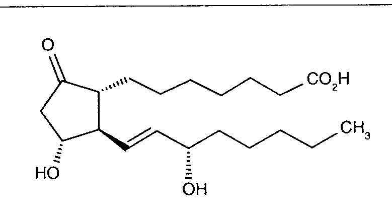
   Ķīmiskā uzbūve   

Oriģinālais nosaukums   Oriģinālais nosaukums     

Tirdzniecības nosaukumi ir apzīmējoši un palīgvielas var atšķirties dažādām valstīm un laboratorijām

Alfaprostin Ēģipte
Alistint Meksika, Peru
Alprostadil Amerikas Savienotās Valstis, Argentīna, Austrālija, Čīle, Ekvadora, Kanāda, Malaizija, Peru, Rumānija, Saūda Arābija, Spānija, Turcija, Vācija
Alprostapint Argentīna, Austrija, Ekvadora, Kolumbija, Peru, Ungārija
Alprostar Itālija
Aplicav
Cardiobonisol Polija
Caverject Amerikas Savienotās Valstis, Apvienotie Arābu Emirāti, Austrija, Beļģija, Brazīlija, Čīle, Dānija, Francija, Itālija, Kanāda, Kolumbija, Lielbritānija, Norvēģija, Polija, Portugāle, Slovēnija, Spānija, Šveice, Turcija, Zviedrija
Edex Amerikas Savienotās Valstis, Francija, Grieķija, Tunisija
Liple Japāna
Minprog Austrija, Vācija
Ostapint Meksika, Peru
Palux Japāna
Pridax Austrija, Rumānija, Spānija, Vācija
Prolisina VR Argentīna
Prostandin Japāna
Prostavasin Austrija, Ēģipte, Irāna, Itālija, Luksemburga, Polija, Ungārija, Vācija
Prostin VR Amerikas Savienotās Valstis, Beļģija, Dānija, Grieķija, Holande, Horvātija, Irāna, Itālija, Kanāda, Kolumbija, Lielbritānija, Luksemburga, Malaizija, Norvēģija, Polija, Portugāle, Saūda Arābija, Somija, Šveice, Ungārija, Venecuēla
Prostine VR Francija
Vasaprostan Rumānija
Maisījuma stabilitāte   Injekcija   Maisījuma stabilitāte : Alprostadil     
Iepakojums Šķīdinātājs Koncentrācija Savienojums Temperatūra Glabāšana Stabilitātes ilgums Literatūras saraksts
Stikls 0.9% NaCl + antibakteriāls 12,5 µg/ml
Injekcija   Alprostadil   
Injekcija   Papaverine hydrochloride 4,5 mg/ml
Injekcija   Phentolamine mesylate 0,125 mg/ml
-20°C
180 Diena
Aizsargāt no gaismas 1899
Pierādījumu līmenis A
Stikls 0.9% NaCl + antibakteriāls 12,5 µg/ml
Injekcija   Alprostadil   
Injekcija   Papaverine hydrochloride 4,5 mg/ml
Injekcija   Phentolamine mesylate 0,125 mg/ml
4°C
30 Diena
Aizsargāt no gaismas 1899
Pierādījumu līmenis A
Polipropilēns Nātrija hlorīds 0.9% 15 µg/ml
Injekcija   Alprostadil   
Injekcija   Papaverine hydrochloride 15 mg/ml
Injekcija   Urapidil 2 mg/ml
2-8°C
55 Diena
Aizsargāt no gaismas 3448
Pierādījumu līmenis B

  Mentions Légales