Utolsó frissítés :
27/04/2026
Értágító   Alprostadil  
Injekció
Az oldatok stabilitása A keverékek stabilitása Stabilitást befolyásoló tényezők Kompatibilitás Az alkalmazás módja Irodalom pdf
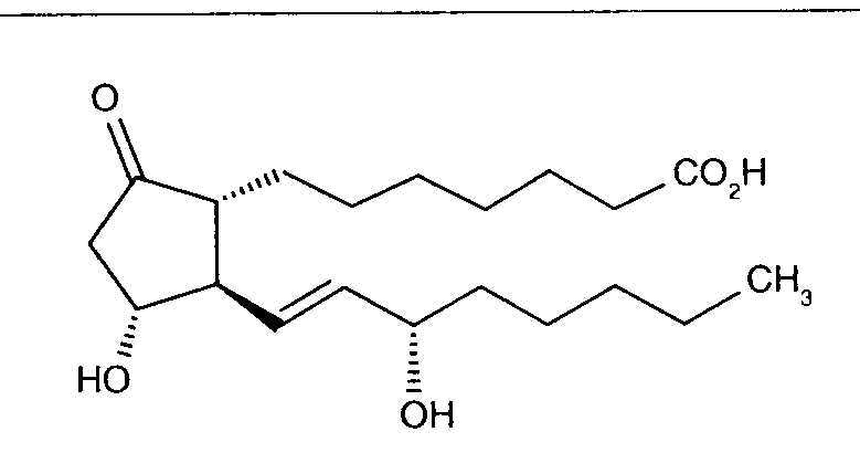
   Kémiai szerkezet   

Kereskedelmi név   Kereskedelmi név     

A kereskedelmi név meghatározó jelentőségű: a készítmények összetétele országonként, előállítóként eltérő lehet

Alfaprostin Egyiptom
Alistint Mexikó, Peru
Alprostadil Amerikai Egyesült Államok, Argentína, Ausztrália, Chile, Ecuador, Kanada, Malaysia, Németország, Peru, Románia, Spanyolország, Szaúd-Arábiában, Törökország
Alprostapint Argentína, Ausztria, Colombia, Ecuador, Magyarország, Peru
Alprostar Olaszország
Aplicav
Cardiobonisol Lengyelország
Caverject Amerikai Egyesült Államok, Ausztria, Belgium, Brazília, Chile, Colombia, Dánia, Egyesült Arab Emírségek, Franciaország, Kanada, Lengyelország, Nagy-Britannia, Norvégia, Olaszország, Portugália, Spanyolország, Svájc, Svédország, Szlovénia, Törökország
Edex Amerikai Egyesült Államok, Franciaország, Görögország, Tunézia
Liple Japán
Minprog Ausztria, Németország
Ostapint Mexikó, Peru
Palux Japán
Pridax Ausztria, Németország, Románia, Spanyolország
Prolisina VR Argentína
Prostandin Japán
Prostavasin Ausztria, Egyiptom, Irán, Lengyelország, Luxemburg, Magyarország, Németország, Olaszország
Prostin VR Amerikai Egyesült Államok, Belgium, Colombia, Dánia, Finnország, Görögország, Hollandia, Horvátország, Irán, Kanada, Lengyelország, Luxemburg, Magyarország, Malaysia, Nagy-Britannia, Norvégia, Olaszország, Portugália, Svájc, Szaúd-Arábiában, Venezuela
Prostine VR Franciaország
Vasaprostan Románia
A keverékek stabilitása   Injekció   A keverékek stabilitása : Alprostadil     
Csomagolás Oldószer Koncentráció Vegyület Hőmérséklet Tárolás A stabilitás időtartama Irodalom
Üveg 0,9% NaCl + antibakteriális szer 12,5 µg/ml
Injekció   Alprostadil   
Injekció   Papaverine hydrochloride 4,5 mg/ml
Injekció   Phentolamine mesylate 0,125 mg/ml
-20°C
180 Nap
Fénytől védve tartandó 1899
Szintű bizonyítékot A
Üveg 0,9% NaCl + antibakteriális szer 12,5 µg/ml
Injekció   Alprostadil   
Injekció   Papaverine hydrochloride 4,5 mg/ml
Injekció   Phentolamine mesylate 0,125 mg/ml
4°C
30 Nap
Fénytől védve tartandó 1899
Szintű bizonyítékot A
Polipropilén 0,9% nátrium-klorid 15 µg/ml
Injekció   Alprostadil   
Injekció   Papaverine hydrochloride 15 mg/ml
Injekció   Urapidil 2 mg/ml
2-8°C
55 Nap
Fénytől védve tartandó 3448
Szintű bizonyítékot B

  Mentions Légales