Последно актуализиране :
27/01/2026
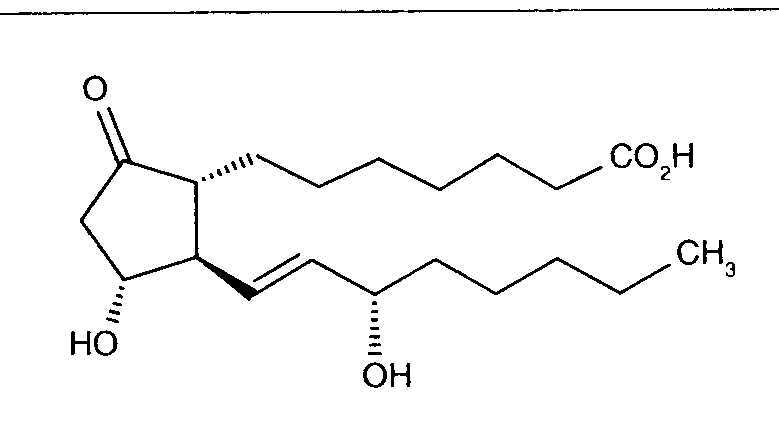
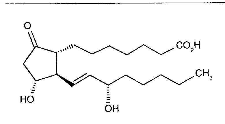
Вазодилататор   Alprostadil  
Инжекция/Инжекционен
Стабилност на разтвори Стабилност на смеси Фактори, повлияващи стабилността Съвместимост Път на въвеждане Библиография Pdf
   Химична структура  

Търговско наименование   Търговско наименование     

Търговските имена са примерни и съставът на помощните вещества може да бъде различен в зависимост от държавата и лабораториите

Alfaprostin Египет
Alistint Мексико, Перу
Alprostadil Австралия, Аржентина, Германия, Еквадор, Испания, Канада, Малайзия, Перу, Румъния, Саудитска Арабия, Съединени Американски щати / САЩ, Турция, Чили
Alprostapint Австрия, Аржентина, Еквадор, Колумбия, Перу, Унгария
Alprostar Италия
Aplicav
Cardiobonisol Полша
Caverject Австрия, Белгия, Бразилия, Великобритания, Дания, Испания, Италия, Канада, Колумбия, Норвегия, Обединени арабски емирства, Полша, Португалия, Словения, Съединени Американски щати / САЩ, Турция, Франция, Чили, Швейцария, Швеция
Edex Гърция, Съединени Американски щати / САЩ, Тунис, Франция
Liple Япония
Minprog Австрия, Германия
Ostapint Мексико, Перу
Palux Япония
Pridax Австрия, Германия, Испания, Румъния
Prolisina VR Аржентина
Prostandin Япония
Prostavasin Австрия, Германия, Египет, Иран, Италия, Люксенбург, Полша, Унгария
Prostin VR Белгия, Великобритания, Венецуела, Гърция, Дания, Иран, Италия, Канада, Колумбия, Люксенбург, Малайзия, Норвегия, Полша, Португалия, Саудитска Арабия, Съединени Американски щати / САЩ, Унгария, Финландия, Холандия, Хърватия, Швейцария
Prostine VR Франция
Vasaprostan Румъния
Стабилност на смеси   Инжекция/Инжекционен   Стабилност на смеси : Alprostadil     
Контейнер Разтворител Концентрация Състав / молекула Температура Съхранение Продължителност на стабилността Библиография
Стъкло NaCl 0,9% + антибактериално 12,5 µg/ml
Инжекция/Инжекционен   Alprostadil   
Инжекция/Инжекционен   Papaverine hydrochloride 4,5 mg/ml
Инжекция/Инжекционен   Phentolamine mesylate 0,125 mg/ml
-20°C
180 Ден
Защита от светлина 1899
Степен на доказаност A
Стъкло NaCl 0,9% + антибактериално 12,5 µg/ml
Инжекция/Инжекционен   Alprostadil   
Инжекция/Инжекционен   Papaverine hydrochloride 4,5 mg/ml
Инжекция/Инжекционен   Phentolamine mesylate 0,125 mg/ml
4°C
30 Ден
Защита от светлина 1899
Степен на доказаност A
Полипропилен Sodium chloride 0,9% 15 µg/ml
Инжекция/Инжекционен   Alprostadil   
Инжекция/Инжекционен   Papaverine hydrochloride 15 mg/ml
Инжекция/Инжекционен   Urapidil 2 mg/ml
2-8°C
55 Ден
Защита от светлина 3448
Степен на доказаност B

  Mentions Légales