Ultimele actualizari :
27/04/2026
Vasodilatator   Alprostadil  
Injectabil
Stabilitatea in solutie Stabilitatea in amestec Factorii care influenteaza stabilitatea Compatibilitate Microunde Bibliografie pdf
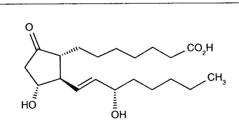
   Formula chimica  

Denumirea comerciala   Denumirea comerciala     

Trade names are indicative and excipients composition can be different depending on the country and manufacturers

Alfaprostin Egipt
Alistint Mexic, Peru
Alprostadil Arabia Saudita, Argentina, Australia, Canada, Chilli, Ecuador, Germania, Malaezia, Peru, Romania, Spania, SUA, Turcia
Alprostapint Argentina, Austria, Columbia, Ecuador, Peru, Ungaria
Alprostar Italia
Aplicav
Cardiobonisol Polonia
Caverject Austria, Belgia, Brazilia, Canada, Chilli, Columbia, Danemarca, Elvetia, Emiratele Arabe Unite, Franta, Italia, Marea Britanie, Norvegia, Polonia, Portugalia, Slovenia, Spania, SUA, Suedia, Turcia
Edex Franta, Grecia, SUA, Tunisia
Liple Japonia
Minprog Austria, Germania
Ostapint Mexic, Peru
Palux Japonia
Pridax Austria, Germania, Romania, Spania
Prolisina VR Argentina
Prostandin Japonia
Prostavasin Austria, Egipt, Germania, Iran, Italia, Luxemburg, Polonia, Ungaria
Prostin VR Arabia Saudita, Belgia, Canada, Columbia, Croatia, Danemarca, Elvetia, Finlanda, Grecia, Iran, Italia, Luxemburg, Malaezia, Marea Britanie, Norvegia, Olanda, Polonia, Portugalia, SUA, Ungaria, Venezuela
Prostine VR Franta
Vasaprostan Romania
Stabilitatea in amestec   Injectabil   Stabilitatea in amestec : Alprostadil     
Continut Solvent Concentratie Molecula (substanta activa) Temperatura Conservare Durata stabilității Bibiografie
sticla NaCl 0,9% + agent antibacterian 12,5 µg/ml
Injectabil   Alprostadil   
Injectabil   Papaverine hydrochloride 4,5 mg/ml
Injectabil   Phentolamine mesylate 0,125 mg/ml
-20°C
180 Ziua
Ferit de lumina 1899
Nivel de evidență A
sticla NaCl 0,9% + agent antibacterian 12,5 µg/ml
Injectabil   Alprostadil   
Injectabil   Papaverine hydrochloride 4,5 mg/ml
Injectabil   Phentolamine mesylate 0,125 mg/ml
4°C
30 Ziua
Ferit de lumina 1899
Nivel de evidență A
polipropilen clorura de sodiu 0,9% 15 µg/ml
Injectabil   Alprostadil   
Injectabil   Papaverine hydrochloride 15 mg/ml
Injectabil   Urapidil 2 mg/ml
2-8°C
55 Ziua
Ferit de lumina 3448
Nivel de evidență B

  Mentions Légales