Senaste uppdateringen :
27/04/2026
Vasodilaterare   Alprostadil  
injektion
Lösningars stabilitet Stabilitet i blandningar Faktorer som påverkar stabiliteten Kompatibilitet Administreringssätt Hänvisningar pdf
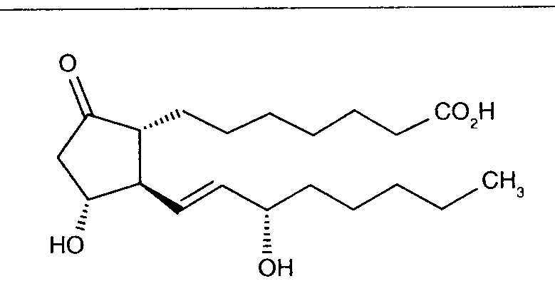
   Molekylstruktur  

Varunamn   Varunamn     

Angivna handelsnamn på läkemedel är enbart vägledande då formulering inklusive hjälpämnen kan variera mellan länder och tillverkare

Alfaprostin Egypten
Alistint Mexiko, Peru
Alprostadil Argentina, Australien, Chile, Ecuador, Förenta Staterna, Kanada, Malaysia, Peru, Rumänien, Saudi-Arabien, Spanien, Turkiet, Tyskland
Alprostapint Argentina, Colombia, Ecuador, Österrike, Peru, Ungern
Alprostar Italien
Aplicav
Cardiobonisol Polen
Caverject Belgien, Brasilien, Chile, Colombia, Danmark, Förenade Arabemiraten, Förenta Staterna, Frankrike, Italien, Kanada, Norge, Österrike, Polen, Portugal, Schweiz, Slovenien, Spanien, Storbritannien, Sverige, Turkiet
Edex Förenta Staterna, Frankrike, Grekland, Tunisien
Liple Japan
Minprog Österrike, Tyskland
Ostapint Mexiko, Peru
Palux Japan
Pridax Österrike, Rumänien, Spanien, Tyskland
Prolisina VR Argentina
Prostandin Japan
Prostavasin Egypten, Iran, Italien, Luxemburg, Österrike, Polen, Tyskland, Ungern
Prostin VR Belgien, Colombia, Danmark, Finland, Förenta Staterna, Grekland, Iran, Italien, Kanada, Kroatien, Luxemburg, Malaysia, Nederländerna, Norge, Polen, Portugal, Saudi-Arabien, Schweiz, Storbritannien, Ungern, Venezuela
Prostine VR Frankrike
Vasaprostan Rumänien
Stabilitet i blandningar   injektion   Stabilitet i blandningar : Alprostadil     
Behållare Lösningsmedel Koncentration Substans Temperatur Förvaring Stabilitets varaktighet Hänvisningar
Glas NaCl 0,9 % + bakteriostatisk substans 12,5 µg/ml
injektion   Alprostadil   
injektion   Papaverine hydrochloride 4,5 mg/ml
injektion   Phentolamine mesylate 0,125 mg/ml
-20°C
180 Dag
Skyddas från ljus 1899
Evidensnivå A
Glas NaCl 0,9 % + bakteriostatisk substans 12,5 µg/ml
injektion   Alprostadil   
injektion   Papaverine hydrochloride 4,5 mg/ml
injektion   Phentolamine mesylate 0,125 mg/ml
4°C
30 Dag
Skyddas från ljus 1899
Evidensnivå A
Polypropylen Natriumklorid 0,9 % 15 µg/ml
injektion   Alprostadil   
injektion   Papaverine hydrochloride 15 mg/ml
injektion   Urapidil 2 mg/ml
2-8°C
55 Dag
Skyddas från ljus 3448
Evidensnivå B

  Mentions Légales