Zadnji put ažurirano :
27/04/2026
vazodilatator   Alprostadil  
injekcija
Stabilizacija rješenja Stabilnost mješavine Stabilizacijski faktor Kompatibilnosti način davanja lijeka Bibliografija pdf
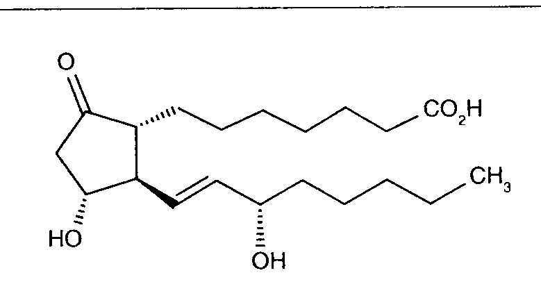
   Kemijska struktura  

Nekomercijalni   Nekomercijalni     

Zaštićeni nazivi su indikativni i sastav ekscipijensa može biti različit ovisno o državi i laboratorijima

Alfaprostin Egipat
Alistint Meksiko, Peru
Alprostadil Argentina, Australija, Čile, Ekvador, Kanada, Malezija, Njemačka, Peru, Rumunjska, S A D, Saudijska Arabija, Španjolska, Turska
Alprostapint Argentina, Austrija, Ekvador, Kolumbija, Madžarska, Peru
Alprostar Italija
Aplicav
Cardiobonisol Poljska
Caverject Austrija, Belgija, Brazil, Čile, Danska, Francuska, Italija, Kanada, Kolumbija, Norveška, Poljska, Portugal, S A D, Slovenija, Španjolska, Švedska, Švicarska, Turska, Ujedinjeni Arapski Emirati, Velika Britanija
Edex Francuska, Grčka, S A D, Tunis
Liple Japan
Minprog Austrija, Njemačka
Ostapint Meksiko, Peru
Palux Japan
Pridax Austrija, Njemačka, Rumunjska, Španjolska
Prolisina VR Argentina
Prostandin Japan
Prostavasin Austrija, Egipat, Iran, Italija, Luksemburg, Madžarska, Njemačka, Poljska
Prostin VR Belgija, Danska, Finska, Grčka, Hrvatska, Iran, Italija, Kanada, Kolumbija, Luksemburg, Madžarska, Malezija, Nizozemska, Norveška, Poljska, Portugal, S A D, Saudijska Arabija, Švicarska, Velika Britanija, Venecuela
Prostine VR Francuska
Vasaprostan Rumunjska
Stabilnost mješavine   injekcija   Stabilnost mješavine : Alprostadil     
Kontejner sredstvo za rastapanje koncentracija molekula temperatura Konzerviranje Trajanje stabilnosti Bibliografija
čaša NaCL 0,9% + bakteriostatična 12,5 µg/ml
injekcija   Alprostadil   
injekcija   Papaverine hydrochloride 4,5 mg/ml
injekcija   Phentolamine mesylate 0,125 mg/ml
-20°C
180 dan
Zaštićeno od svjetlosti 1899
Razina dokaza A
čaša NaCL 0,9% + bakteriostatična 12,5 µg/ml
injekcija   Alprostadil   
injekcija   Papaverine hydrochloride 4,5 mg/ml
injekcija   Phentolamine mesylate 0,125 mg/ml
4°C
30 dan
Zaštićeno od svjetlosti 1899
Razina dokaza A
polipropilen natrijumkorid 0,9% 15 µg/ml
injekcija   Alprostadil   
injekcija   Papaverine hydrochloride 15 mg/ml
injekcija   Urapidil 2 mg/ml
2-8°C
55 dan
Zaštićeno od svjetlosti 3448
Razina dokaza B

  Mentions Légales