zadnja posodobitev :
27/11/2025
Vazodilatator   Alprostadil  
Brizgalka
Stabilnost raztopine Stabilnost mešanice Faktorji, ki vplivajo na stabilnost Kompatibilnost način aplikacije Viri pdf
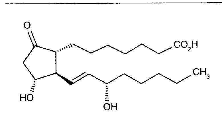
   Kemična formula  

Lastniško ime   Lastniško ime     

Sestava pomožnih snovi je med paralelami lahko različna

Alfaprostin Egipt
Alistint Mehika, Peru
Alprostadil Argentina, Avstralija, Čile, Ekvador, Kanada, Malezija, Nemčija, Peru, Romunija, Savdska Arabija, Španija, Turčija, Združene države Amerike
Alprostapint Argentina, Avstrija, Ekvador, Kolumbija, Madžarska, Peru
Alprostar Italija
Aplicav
Cardiobonisol Poljska
Caverject Avstrija, Belgija, Brazilija, Čile, Danska, Francija, Italija, Kanada, Kolumbija, Norveška, Poljska, Portugalska, Slovenija, Španija, Švedska, Švica, Turčija, Velika Britanija, Združene države Amerike, Združeni arabski emirati
Edex Francija, Grčija, Tunizija, Združene države Amerike
Liple Japonska
Minprog Avstrija, Nemčija
Ostapint Mehika, Peru
Palux Japonska
Pridax Avstrija, Nemčija, Romunija, Španija
Prolisina VR Argentina
Prostandin Japonska
Prostavasin Avstrija, Egipt, Iran, Italija, Luksemburg, Madžarska, Nemčija, Poljska
Prostin VR Belgija, Danska, Finska, Grčija, Hrvaška, Iran, Italija, Kanada, Kolumbija, Luksemburg, Madžarska, Malezija, Nizozemska, Norveška, Poljska, Portugalska, Savdska Arabija, Švica, Velika Britanija, Venezuela, Združene države Amerike
Prostine VR Francija
Vasaprostan Romunija
Stabilnost mešanice   Brizgalka   Stabilnost mešanice : Alprostadil     
Vsebnik Topilo Koncentracija Sestava Temperatura Shranjevanje Trajanje stabilnosti Viri
Steklo NaCl 0,9%  + bakteriostatik 12,5 µg/ml
Brizgalka   Alprostadil   
Brizgalka   Papaverine hydrochloride 4,5 mg/ml
Brizgalka   Phentolamine mesylate 0,125 mg/ml
-20°C
180 Dan
Zaščiteno pred svetlobo 1899
 Stopnja dokaza A
Steklo NaCl 0,9%  + bakteriostatik 12,5 µg/ml
Brizgalka   Alprostadil   
Brizgalka   Papaverine hydrochloride 4,5 mg/ml
Brizgalka   Phentolamine mesylate 0,125 mg/ml
4°C
30 Dan
Zaščiteno pred svetlobo 1899
 Stopnja dokaza A
Polipropilen Natrijev klorid 0,9% 15 µg/ml
Brizgalka   Alprostadil   
Brizgalka   Papaverine hydrochloride 15 mg/ml
Brizgalka   Urapidil 2 mg/ml
2-8°C
55 Dan
Zaščiteno pred svetlobo 3448
 Stopnja dokaza B

  Mentions Légales