Letztes “update” :
27/04/2026
Vasodilatator   Alprostadil  
Injektion
Stabilität der Lösung Gemengestabilität Stabilitätbeeinflussende Faktoren Kompatibilitäten Applikationsart Literaturverzeichnis pdf
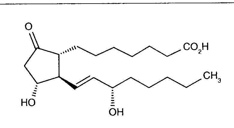
   Chemische Struktur  

Handelsmarke   Handelsmarke     

Handelsnamen sind als beispielhaft anzusehen. Sonstige Bestandteile können je nach Hersteller oder Land verschieden sein

Alfaprostin Ägypten
Alistint Mexiko, Peru
Alprostadil Argentinien, Australien, Chile, Deutschland, Ecuador, Kanada, Malaysia, Peru, Rumänien, Saudi-Arabien, Spanien, Türkei, Vereinigte Staaten von Amerika
Alprostapint Argentinien, Ecuador, Kolumbien, Österreich, Peru, Ungarn
Alprostar Italien
Aplicav
Cardiobonisol Polen
Caverject Belgien, Brasilien, Chile, Dänemark, Frankreich, Großbritannien, Italien, Kanada, Kolumbien, Norwegen, Österreich, Polen, Portugal, Schweden, Schweiz, Slowenien, Spanien, Türkei, Vereinigte Arabische Emirate, Vereinigte Staaten von Amerika
Edex Frankreich, Griechenland, Tunesien, Vereinigte Staaten von Amerika
Liple Japan
Minprog Deutschland, Österreich
Ostapint Mexiko, Peru
Palux Japan
Pridax Deutschland, Österreich, Rumänien, Spanien
Prolisina VR Argentinien
Prostandin Japan
Prostavasin Ägypten, Deutschland, Iran, Italien, Luxemburg, Österreich, Polen, Ungarn
Prostin VR Belgien, Dänemark, Finnland, Griechenland, Großbritannien, Iran, Italien, Kanada, Kolumbien, Kroatien, Luxemburg, Malaysia, Niederlande, Norwegen, Polen, Portugal, Saudi-Arabien, Schweiz, Ungarn, Venezuela, Vereinigte Staaten von Amerika
Prostine VR Frankreich
Vasaprostan Rumänien
Gemengestabilität   Injektion   Gemengestabilität : Alprostadil     
Behälter Lösungsmittel Konzentration Molekül Temperatur Konservierung Dauer der Stabilität Literaturverzeichnis
Glas 0,9% NaCl  + bakterostatsich 12,5 µg/ml
Injektion   Alprostadil   
Injektion   Papaverine hydrochloride 4,5 mg/ml
Injektion   Phentolamine mesylate 0,125 mg/ml
-20°C
180 Tag
Ohne Licht 1899
Evidenzgrad A
Glas 0,9% NaCl  + bakterostatsich 12,5 µg/ml
Injektion   Alprostadil   
Injektion   Papaverine hydrochloride 4,5 mg/ml
Injektion   Phentolamine mesylate 0,125 mg/ml
4°C
30 Tag
Ohne Licht 1899
Evidenzgrad A
Polypropylen 0,9% Natriumchlorid 15 µg/ml
Injektion   Alprostadil   
Injektion   Papaverine hydrochloride 15 mg/ml
Injektion   Urapidil 2 mg/ml
2-8°C
55 Tag
Ohne Licht 3448
Evidenzgrad B

  Mentions Légales