Son güncelleme :
27/04/2026
Vazodilatör   Alprostadil  
Enjeksiyon
Çözeltilerin stabilitesi Karışımlardaki stabilitesi Stabiliteyi etkileyen faktörler Uyumluluk Uygulama yöntemi Kaynaklar pdf
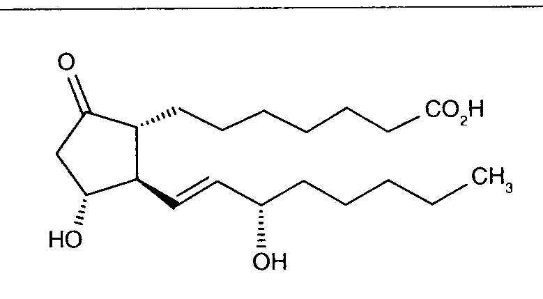
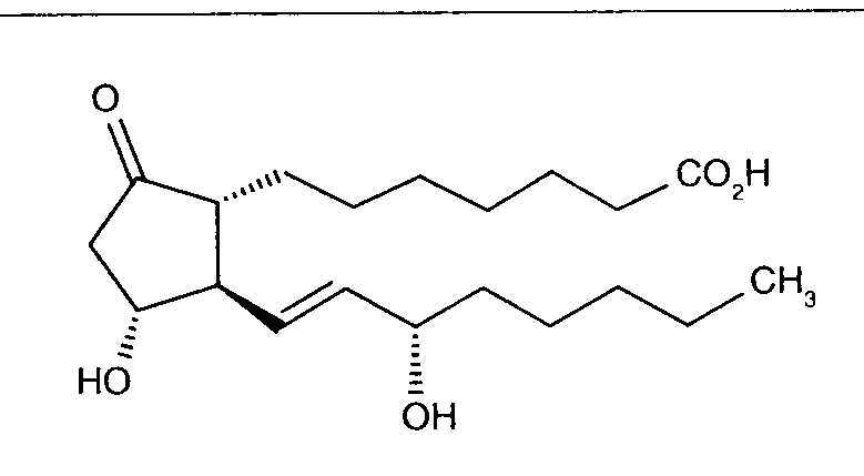
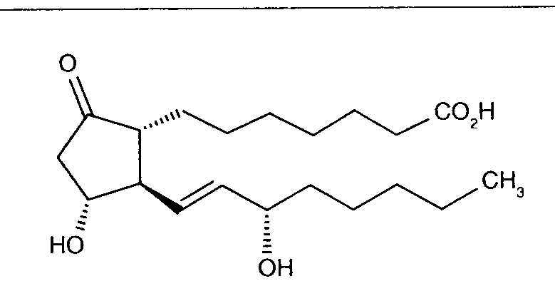
   Kimyasal yapı   

Ticari isim   Ticari isim     

Trade names are indicative and excipients composition can be different depending on the country and manufacturers

Alfaprostin Mısır
Alistint Meksika, Peru
Alprostadil Almanya, Amerika Birleşik Devletleri, Arjantin, Avustralya, Ekvador, İspanya, Kanada, Malezya, Peru, Romanya, Şili, Suudi Arabistan, Türkiye
Alprostapint Arjantin, Avusturya, Ekvador, Kolombiya, Macaristan, Peru
Alprostar İtalya
Aplicav
Cardiobonisol Polonya
Caverject Amerika Birleşik Devletleri, Avusturya, Belçika, Birleşik Arap Emirlikleri, Brezilya, Büyük Britanya, Danimarka, Fransa, İspanya, İsveç, İsviçre, İtalya, Kanada, Kolombiya, Norveç, Polonya, Portekiz, Şili, Slovenya, Türkiye
Edex Amerika Birleşik Devletleri, Fransa, Tunus, Yunanistan
Liple Japonya
Minprog Almanya, Avusturya
Ostapint Meksika, Peru
Palux Japonya
Pridax Almanya, Avusturya, İspanya, Romanya
Prolisina VR Arjantin
Prostandin Japonya
Prostavasin Almanya, Avusturya, İran, İtalya, Lüksemburg, Macaristan, Mısır, Polonya
Prostin VR Amerika Birleşik Devletleri, Belçika, Büyük Britanya, Danimarka, Finlandiya, Hırvatistan, Hollanda, İran, İsviçre, İtalya, Kanada, Kolombiya, Lüksemburg, Macaristan, Malezya, Norveç, Polonya, Portekiz, Suudi Arabistan, Venezuela, Yunanistan
Prostine VR Fransa
Vasaprostan Romanya
Karışımlardaki stabilitesi   Enjeksiyon    Karışımlardaki stabilitesi : Alprostadil     
Saklama kabı Çözücü Konsantrasyon Bileşik Isı Saklama    Stabilite süresi Kaynaklar
Cam NaCl %0,9 + antibakteriyel 12,5 µg/ml
Enjeksiyon   Alprostadil   
Enjeksiyon   Papaverine hydrochloride 4,5 mg/ml
Enjeksiyon   Phentolamine mesylate 0,125 mg/ml
-20°C
180 Gün
Işıktan koruyunuz 1899
Kanıt düzeyi A
Cam NaCl %0,9 + antibakteriyel 12,5 µg/ml
Enjeksiyon   Alprostadil   
Enjeksiyon   Papaverine hydrochloride 4,5 mg/ml
Enjeksiyon   Phentolamine mesylate 0,125 mg/ml
4°C
30 Gün
Işıktan koruyunuz 1899
Kanıt düzeyi A
Polipropilen Sodyum klorür % 0,9 15 µg/ml
Enjeksiyon   Alprostadil   
Enjeksiyon   Papaverine hydrochloride 15 mg/ml
Enjeksiyon   Urapidil 2 mg/ml
2-8°C
55 Gün
Işıktan koruyunuz 3448
Kanıt düzeyi B

  Mentions Légales