Poslední aktualizace :
27/04/2026
Kraujagysles plečiantis vaistas   Alprostadil  
Įpurškimas
Tirpalų stabilumas Mišinių stabilumas Stabilumą lemiantys veiksniai Suderinamumas Leidimo būdai Bibliografija pdf
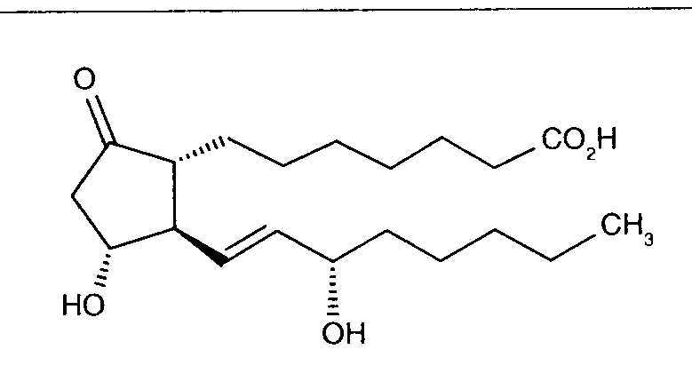
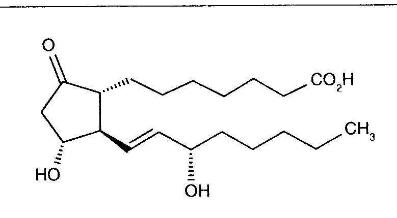
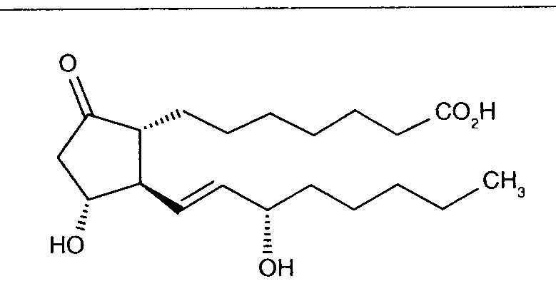
   Cheminė sandara  

Prekinis pavadinimas   Prekinis pavadinimas     

Trade names are indicative and excipients composition can be different depending on the country and manufacturers

Alfaprostin Egiptas
Alistint Meksikas, Peru
Alprostadil Argentina, Australija, Čilė, Ekvadoras, Ispanija, Jungtinės Amerikos Valstijos, Kanada, Malaizija, Peru, Rumunija, Saudo Arabija, Turkija, Vokietija
Alprostapint Argentina, Austrija, Ekvadoras, Kolumbija, Peru, Vengrija
Alprostar Italija
Aplicav
Cardiobonisol Lenkija
Caverject Austrija, Belgija, Brazilija, Čilė, Danija, Didžioji Britanija, Ispanija, Italija, Jungtinės Amerikos Valstijos, Jungtiniai Arabų Emyratai, Kanada, Kolumbija, Lenkija, Norvegija, Portugalija, Prancūzija, Slovėnija, Švedija, Šveicarija, Turkija
Edex Graikija, Jungtinės Amerikos Valstijos, Prancūzija, Tunisas
Liple Japonija
Minprog Austrija, Vokietija
Ostapint Meksikas, Peru
Palux Japonija
Pridax Austrija, Ispanija, Rumunija, Vokietija
Prolisina VR Argentina
Prostandin Japonija
Prostavasin Austrija, Egiptas, Iranas, Italija, Lenkija, Liuksemburgas, Vengrija, Vokietija
Prostin VR Belgija, Danija, Didžioji Britanija, Graikija, Iranas, Italija, Jungtinės Amerikos Valstijos, Kanada, Kolumbija, Kroatija, Lenkija, Liuksemburgas, Malaizija, Norvegija, Olandija, Portugalija, Saudo Arabija, Suomija, Šveicarija, Venesuela, Vengrija
Prostine VR Prancūzija
Vasaprostan Rumunija
Mišinių stabilumas   Įpurškimas   Mišinių stabilumas : Alprostadil     
Pakuotė Tirpiklis Koncentracija Molekulė Temperatūra Laikymas Stabilumo trukmė Nuorodos
Stiklas NaCl 0,9% + antibakterinis 12,5 µg/ml
Įpurškimas   Alprostadil   
Įpurškimas   Papaverine hydrochloride 4,5 mg/ml
Įpurškimas   Phentolamine mesylate 0,125 mg/ml
-20°C
180 Diena
Apsaugotas nuo šviesos 1899
Bandymo lygis A
Stiklas NaCl 0,9% + antibakterinis 12,5 µg/ml
Įpurškimas   Alprostadil   
Įpurškimas   Papaverine hydrochloride 4,5 mg/ml
Įpurškimas   Phentolamine mesylate 0,125 mg/ml
4°C
30 Diena
Apsaugotas nuo šviesos 1899
Bandymo lygis A
Polipropilenas Natrio chloridas 0,9% 15 µg/ml
Įpurškimas   Alprostadil   
Įpurškimas   Papaverine hydrochloride 15 mg/ml
Įpurškimas   Urapidil 2 mg/ml
2-8°C
55 Diena
Apsaugotas nuo šviesos 3448
Bandymo lygis B

  Mentions Légales