Τελευταία ενημέρωση :
27/04/2026
Θρομβολυτικό   Alprostadil  
Ενέσιμο
Σταθερότητα διαλυμάτων Σταθερότητα σε μίγματα Παράγοντας που επηρεάζει τη σταθερότητα Συμβατότητες Τρόπος χορήγησης Βιβλιογραφία pdf
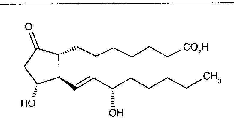
   χημική δομή  

Εμπορική ονομασία   Εμπορική ονομασία     

Οι εμπορικές ονομασίες είναι ενδεικτικές και η σύνθεση των εκδόχων μπορεί να διαφέρει ανάλογα με τη χώρα και τα εργαστήρια

Alfaprostin Αίγυπτος
Alistint Μεξικό, Περού
Alprostadil Αργεντινή, Αυστραλία, Γερμανία, Εκουαδόρ, Η.Π.Α., Ισπανία, Καναδάς, Μαλαισία, Περού, Ρουμανία, Σαουδική Αραβία, Τουρκία, Χιλή
Alprostapint Αργεντινή, Αυστρία, Εκουαδόρ, Κολομβία, Ουγγαρία, Περού
Alprostar Ιταλία
Aplicav
Cardiobonisol Πολωνία
Caverject Yhdistyneet arabiemiirikunnat, Αυστρία, Βέλγιο, Βραζιλία, Γαλλία, Δανία, Ελβετία, Η.Π.Α., Ισπανία, Ιταλία, Καναδάς, Κολομβία, Μεγάλη Βρετανία, Νορβηγία, Πολωνία, Πορτογαλία, Σλοβενία, Σουηδία, Τουρκία, Χιλή
Edex Γαλλία, Ελλάδα, Η.Π.Α., Τυνησία
Liple Ιαπωνία
Minprog Αυστρία, Γερμανία
Ostapint Μεξικό, Περού
Palux Ιαπωνία
Pridax Αυστρία, Γερμανία, Ισπανία, Ρουμανία
Prolisina VR Αργεντινή
Prostandin Ιαπωνία
Prostavasin Αίγυπτος, Αυστρία, Γερμανία, Ιράν, Ιταλία, Λουξεμβούργο, Ουγγαρία, Πολωνία
Prostin VR Βέλγιο, Βενεζουέλα, Δανία, Ελβετία, Ελλάδα, Η.Π.Α., Ιράν, Ιταλία, Καναδάς, Κολομβία, Κροατία, Λουξεμβούργο, Μαλαισία, Μεγάλη Βρετανία, Νορβηγία, Ολλανδία, Ουγγαρία, Πολωνία, Πορτογαλία, Σαουδική Αραβία, Φινλανδία
Prostine VR Γαλλία
Vasaprostan Ρουμανία
Σταθερότητα σε μίγματα   Ενέσιμο   Σταθερότητα σε μίγματα : Alprostadil     
Υποδοχέας Διαλυτικό Συγκέντρωση Συστατικό Θερμοκρασία Αποθήκευση Διάρκεια σταθερότητας Βιβλιογραφία
Ύαλος NaCl 0,9% + αντιβακτηριακό 12,5 µg/ml
Ενέσιμο   Alprostadil   
Ενέσιμο   Papaverine hydrochloride 4,5 mg/ml
Ενέσιμο   Phentolamine mesylate 0,125 mg/ml
-20°C
180 Ημέρα
Προστατεύετε από το φως 1899
Επίπεδο των αποδεικτικών στοιχείων A
Ύαλος NaCl 0,9% + αντιβακτηριακό 12,5 µg/ml
Ενέσιμο   Alprostadil   
Ενέσιμο   Papaverine hydrochloride 4,5 mg/ml
Ενέσιμο   Phentolamine mesylate 0,125 mg/ml
4°C
30 Ημέρα
Προστατεύετε από το φως 1899
Επίπεδο των αποδεικτικών στοιχείων A
Πολυπροπυλένιο Χλωριούχο νάτριο 0,9% 15 µg/ml
Ενέσιμο   Alprostadil   
Ενέσιμο   Papaverine hydrochloride 15 mg/ml
Ενέσιμο   Urapidil 2 mg/ml
2-8°C
55 Ημέρα
Προστατεύετε από το φως 3448
Επίπεδο των αποδεικτικών στοιχείων B

  Mentions Légales