Cập nhật lần cuối :
27/04/2026
Kháng sinh   Penicillin G sodium  
Dạng tiêm
Tính ổn định của các dung dịch Độ ổn định khi trộn lẫn Những yếu tố ảnh hưởng đến độ ổn định Khả năng tương thích Đường dùng Tài liệu tham khảo Pdf
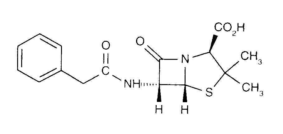
   Cấu trúc hóa học  

Tên thương mại   Tên thương mại     

Các tên thương mại được cung cấp và thành phần tá dược có thể khác nhau giữa các quốc gia và các hãng dược

Benapen Brazil
Bencilpenicilina Chile, Ecuador, Peru
Benpen new zealand, Úc
Bensylpenicillin Thụy Điển
Benzapen Iran
Benzatec Cộng hòa Nam Phi
Benzatron Brazil
Benzylpenicillin Ả Rập, Na Uy, Phần Lan, Thụy Điển, Đan Mạch
Benzylpenicilline Tunisia
Biconcillina Ecuador
Crystapen Anh, Canada, Ireland
Declin Mexico
Fortepen Ả Rập Saudi
Geepenil Phần Lan
Natrium penicillin G Hà Lan
Novopen Cộng hòa Nam Phi
Pebencil Venezuela
Penbendox Mexico
Penibiot Tây Ban Nha
Penicillin Na Uy
Penicillina G sodica Argentina, Bồ Đào Nha, Chile, Colombia, Ecuador
Penilevel Tây Ban Nha
Sodiopen Tây Ban Nha
Unicillina Tây Ban Nha
Tính ổn định của các dung dịch   Dạng tiêm   Tính ổn định của các dung dịch : Penicillin G sodium     
Bao bì Dung môi Nồng độ Nhiệt độ Bảo quản Thời gian ổn định Mục lục
Thủy tinh Nước cất pha tiêm 0.01 MUI/ml 2-8°C Tránh ánh sáng
7 Ngày
4922
Cấp độ bằng chứng D

Thủy tinh NaCl 0.9% + phenol 0.4% 0.01 MUI/ml 2-8°C Tránh ánh sáng
2 Ngày
4922
Cấp độ bằng chứng D

Nhựa polyvinyl chloride Nước cất pha tiêm 0,1 & 0,2 MUI/ml 25°C Không rõ
3 Ngày
13
Cấp độ bằng chứng B

Nhựa polyvinyl chloride Nước cất pha tiêm 0,18 MUI/ml -20°C Tránh ánh sáng
30 Ngày
440
Cấp độ bằng chứng D

Nhựa polyvinyl chloride NaCl 0,9% ?? MUI/ml 5°C Tránh ánh sáng
2 Ngày
1263
Cấp độ bằng chứng B

Nhựa polyvinyl chloride NaCl 0,9% 0.0025 MUI/ml 5°C Không rõ
21 Ngày
3648
Cấp độ bằng chứng B+

Nhựa polyvinyl chloride NaCl 0,9% 0.05 MUI/ml 5°C Không rõ
21 Ngày
3648
Cấp độ bằng chứng B+

Nhựa polyvinyl chloride Glucose 5% 0,04 MUI/ml -20°C Tránh ánh sáng
39 Ngày
1241
Cấp độ bằng chứng B

Nhựa polyvinyl chloride Glucose 5% 0.0025 MUI/ml 5°C Không rõ
21 Ngày
3648
Cấp độ bằng chứng B+

Nhựa polyvinyl chloride Glucose 5% 0.05 MUI/ml 5°C Không rõ
21 Ngày
3648
Cấp độ bằng chứng B+

ống tiêm polypropylene Nước cất pha tiêm 0.01 MUI/ml 2-8°C Tránh ánh sáng
7 Ngày
4922
Cấp độ bằng chứng D

ống tiêm polypropylene NaCl 0.9% + phenol 0.4% 0.01 MUI/ml 2-8°C Tránh ánh sáng
2 Ngày
4922
Cấp độ bằng chứng D

Chất đàn hồi polyisoprene NaCl 0,9% 0.0025 MUI/ml 5°C Không rõ
21 Ngày
3648
Cấp độ bằng chứng B+

Chất đàn hồi polyisoprene NaCl 0,9% 0.05 MUI/ml 5°C Không rõ
21 Ngày
3648
Cấp độ bằng chứng B+

Chất đàn hồi polyisoprene Glucose 5% 0.0025 MUI/ml 5°C Không rõ
21 Ngày
3648
Cấp độ bằng chứng B+

Chất đàn hồi polyisoprene Glucose 5% 0.05 MUI/ml 5°C Không rõ
21 Ngày
3648
Cấp độ bằng chứng B+

Chất đàn hồi polyisoprene NaCl 0,9% tampon citrate 0,3% pH7 0.025 & 0.1 MUI/ml 2-8°C Tránh ánh sáng
6 Ngày
4590
Cấp độ bằng chứng A

Chất đàn hồi polyisoprene NaCl 0,9% tampon citrate 0,3% pH7 0.025 & 0.1 MUI/ml 37°C Tránh ánh sáng
24 Giờ
4590
Cấp độ bằng chứng A

Chất đàn hồi silicone NaCl 0,9% tampon citrate 0,3% pH7 10 MUI/ml 2-8°C Không rõ
7 Ngày
4874
Cấp độ bằng chứng D

Chất đàn hồi silicone NaCl 0,9% tampon citrate 0,3% pH7 20 MUI/ml 2-8°C Không rõ
7 Ngày
4874
Cấp độ bằng chứng D

Chất đàn hồi silicone NaCl 0,9% tampon citrate 0,3% pH7 40 MUI/ml 2-8°C Không rõ
7 Ngày
4874
Cấp độ bằng chứng D

Không rõ NaCl 0,9% 0,13 MUI/ml 21°C-22°C Không rõ
13 Giờ
2056
Cấp độ bằng chứng D

Không rõ NaCl 0,9% 0,13 MUI/ml 26°C Không rõ
12 Giờ
2056
Cấp độ bằng chứng D

Không rõ NaCl 0,9% 0,13 MUI/ml 3-5°C Không rõ
6 Ngày
2056
Cấp độ bằng chứng D

Không rõ NaCl 0,9% 0,13 MUI/ml 36°C Không rõ
5 Giờ
2056
Cấp độ bằng chứng D


  Mentions Légales