Τελευταία ενημέρωση :
27/04/2026
Αντιβιοτικό   Penicillin G sodium  
Ενέσιμο
Σταθερότητα διαλυμάτων Σταθερότητα σε μίγματα Παράγοντας που επηρεάζει τη σταθερότητα Συμβατότητες Τρόπος χορήγησης Βιβλιογραφία pdf
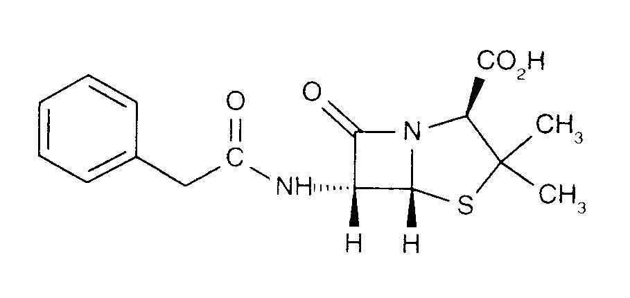
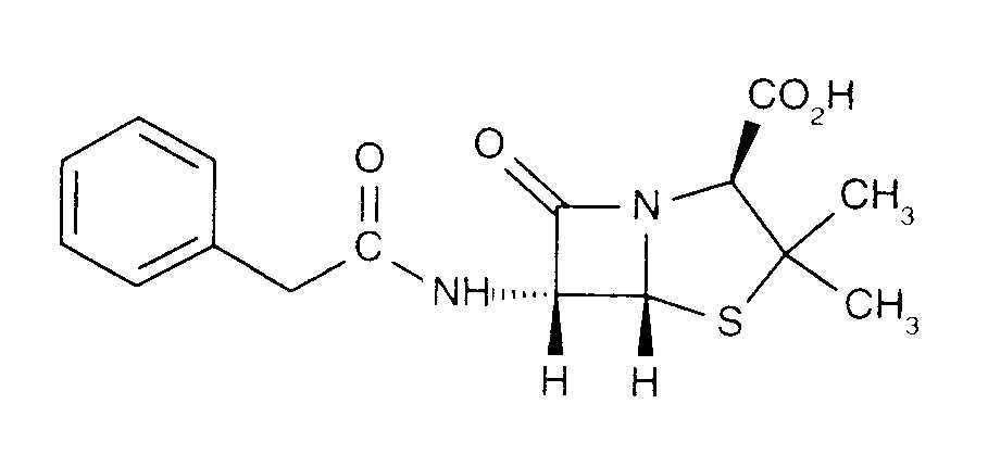
   χημική δομή  

Εμπορική ονομασία   Εμπορική ονομασία     

Οι εμπορικές ονομασίες είναι ενδεικτικές και η σύνθεση των εκδόχων μπορεί να διαφέρει ανάλογα με τη χώρα και τα εργαστήρια

Benapen Βραζιλία
Bencilpenicilina Εκουαδόρ, Περού, Χιλή
Benpen Αυστραλία, νέα Ζηλανδία
Bensylpenicillin Σουηδία
Benzapen Ιράν
Benzatec Νότιος Αφρική
Benzatron Βραζιλία
Benzylpenicillin Αίγυπτος, Δανία, Νορβηγία, Σουηδία, Φινλανδία
Benzylpenicilline Τυνησία
Biconcillina Εκουαδόρ
Crystapen Ιρλανδία, Καναδάς, Μεγάλη Βρετανία
Declin Μεξικό
Fortepen Σαουδική Αραβία
Geepenil Φινλανδία
Natrium penicillin G Ολλανδία
Novopen Νότιος Αφρική
Pebencil Βενεζουέλα
Penbendox Μεξικό
Penibiot Ισπανία
Penicillin Νορβηγία
Penicillina G sodica Αργεντινή, Εκουαδόρ, Κολομβία, Πορτογαλία, Χιλή
Penilevel Ισπανία
Sodiopen Ισπανία
Unicillina Ισπανία
Σταθερότητα διαλυμάτων   Ενέσιμο   Σταθερότητα διαλυμάτων : Penicillin G sodium     
Υποδοχέας Διαλυτικό Συγκέντρωση Θερμοκρασία Αποθήκευση Διάρκεια σταθερότητας Βιβλιογραφία
Ύαλος Ενέσιμο ύδωρ 0.01 MUI/ml 2-8°C Προστατεύετε από το φως
7 Ημέρα
4922
Επίπεδο των αποδεικτικών στοιχείων D

Ύαλος NaCl 0.9% + φαινόλη 0.4% 0.01 MUI/ml 2-8°C Προστατεύετε από το φως
2 Ημέρα
4922
Επίπεδο των αποδεικτικών στοιχείων D

Πολυβινυλοχλωρίδιο Ενέσιμο ύδωρ 0,1 & 0,2 MUI/ml 25°C Απροσδιόριστο
3 Ημέρα
13
Επίπεδο των αποδεικτικών στοιχείων B

Πολυβινυλοχλωρίδιο Ενέσιμο ύδωρ 0,18 MUI/ml -20°C Προστατεύετε από το φως
30 Ημέρα
440
Επίπεδο των αποδεικτικών στοιχείων D

Πολυβινυλοχλωρίδιο Χλωριούχο νάτριο 0,9% ?? MUI/ml 5°C Προστατεύετε από το φως
2 Ημέρα
1263
Επίπεδο των αποδεικτικών στοιχείων B

Πολυβινυλοχλωρίδιο Χλωριούχο νάτριο 0,9% 0.0025 MUI/ml 5°C Απροσδιόριστο
21 Ημέρα
3648
Επίπεδο των αποδεικτικών στοιχείων B+

Πολυβινυλοχλωρίδιο Χλωριούχο νάτριο 0,9% 0.05 MUI/ml 5°C Απροσδιόριστο
21 Ημέρα
3648
Επίπεδο των αποδεικτικών στοιχείων B+

Πολυβινυλοχλωρίδιο Γλυκόζη 5% 0,04 MUI/ml -20°C Προστατεύετε από το φως
39 Ημέρα
1241
Επίπεδο των αποδεικτικών στοιχείων B

Πολυβινυλοχλωρίδιο Γλυκόζη 5% 0.0025 MUI/ml 5°C Απροσδιόριστο
21 Ημέρα
3648
Επίπεδο των αποδεικτικών στοιχείων B+

Πολυβινυλοχλωρίδιο Γλυκόζη 5% 0.05 MUI/ml 5°C Απροσδιόριστο
21 Ημέρα
3648
Επίπεδο των αποδεικτικών στοιχείων B+

σύριγγα πολυπροπυλένιο Ενέσιμο ύδωρ 0.01 MUI/ml 2-8°C Προστατεύετε από το φως
7 Ημέρα
4922
Επίπεδο των αποδεικτικών στοιχείων D

σύριγγα πολυπροπυλένιο NaCl 0.9% + φαινόλη 0.4% 0.01 MUI/ml 2-8°C Προστατεύετε από το φως
2 Ημέρα
4922
Επίπεδο των αποδεικτικών στοιχείων D

Ελαστομερές πολυισοπρένιο Χλωριούχο νάτριο 0,9% 0.0025 MUI/ml 5°C Απροσδιόριστο
21 Ημέρα
3648
Επίπεδο των αποδεικτικών στοιχείων B+

Ελαστομερές πολυισοπρένιο Χλωριούχο νάτριο 0,9% 0.05 MUI/ml 5°C Απροσδιόριστο
21 Ημέρα
3648
Επίπεδο των αποδεικτικών στοιχείων B+

Ελαστομερές πολυισοπρένιο Γλυκόζη 5% 0.0025 MUI/ml 5°C Απροσδιόριστο
21 Ημέρα
3648
Επίπεδο των αποδεικτικών στοιχείων B+

Ελαστομερές πολυισοπρένιο Γλυκόζη 5% 0.05 MUI/ml 5°C Απροσδιόριστο
21 Ημέρα
3648
Επίπεδο των αποδεικτικών στοιχείων B+

Ελαστομερές πολυισοπρένιο NaCl 0,9% κιτρικό ταμπόν 0,3% ρΗ 7 0.025 & 0.1 MUI/ml 2-8°C Προστατεύετε από το φως
6 Ημέρα
4590
Επίπεδο των αποδεικτικών στοιχείων A

Ελαστομερές πολυισοπρένιο NaCl 0,9% κιτρικό ταμπόν 0,3% ρΗ 7 0.025 & 0.1 MUI/ml 37°C Προστατεύετε από το φως
24 Ώρα
4590
Επίπεδο των αποδεικτικών στοιχείων A

Ελαστομερές σιλικόνης NaCl 0,9% κιτρικό ταμπόν 0,3% ρΗ 7 10 MUI/ml 2-8°C Απροσδιόριστο
7 Ημέρα
4874
Επίπεδο των αποδεικτικών στοιχείων D

Ελαστομερές σιλικόνης NaCl 0,9% κιτρικό ταμπόν 0,3% ρΗ 7 20 MUI/ml 2-8°C Απροσδιόριστο
7 Ημέρα
4874
Επίπεδο των αποδεικτικών στοιχείων D

Ελαστομερές σιλικόνης NaCl 0,9% κιτρικό ταμπόν 0,3% ρΗ 7 40 MUI/ml 2-8°C Απροσδιόριστο
7 Ημέρα
4874
Επίπεδο των αποδεικτικών στοιχείων D

Απροσδιόριστο Χλωριούχο νάτριο 0,9% 0,13 MUI/ml 21°C-22°C Απροσδιόριστο
13 Ώρα
2056
Επίπεδο των αποδεικτικών στοιχείων D

Απροσδιόριστο Χλωριούχο νάτριο 0,9% 0,13 MUI/ml 26°C Απροσδιόριστο
12 Ώρα
2056
Επίπεδο των αποδεικτικών στοιχείων D

Απροσδιόριστο Χλωριούχο νάτριο 0,9% 0,13 MUI/ml 3-5°C Απροσδιόριστο
6 Ημέρα
2056
Επίπεδο των αποδεικτικών στοιχείων D

Απροσδιόριστο Χλωριούχο νάτριο 0,9% 0,13 MUI/ml 36°C Απροσδιόριστο
5 Ώρα
2056
Επίπεδο των αποδεικτικών στοιχείων D


  Mentions Légales