最新更新 :
27/04/2026
抗菌薬   Penicillin G sodium  
注射薬
溶媒内の安定性 混合時の安定性 安定性に影響する因子 互換性 投与経路 引用文献 PDF
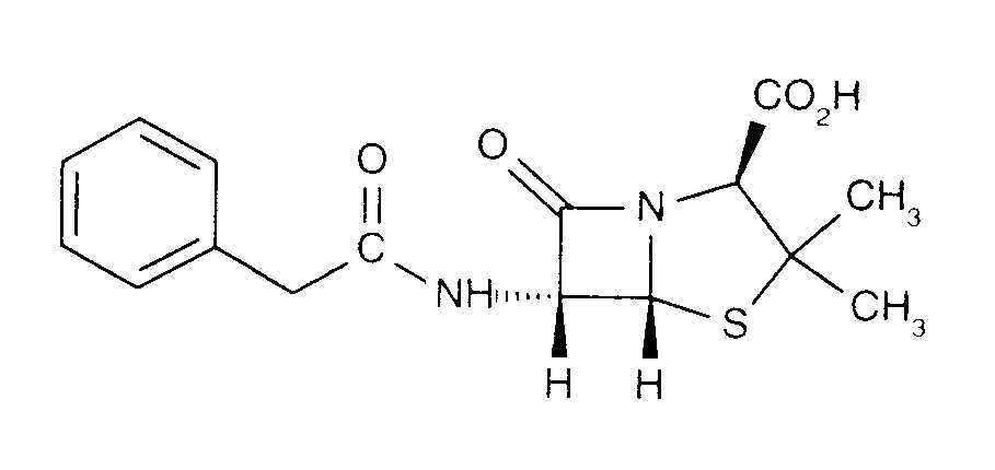
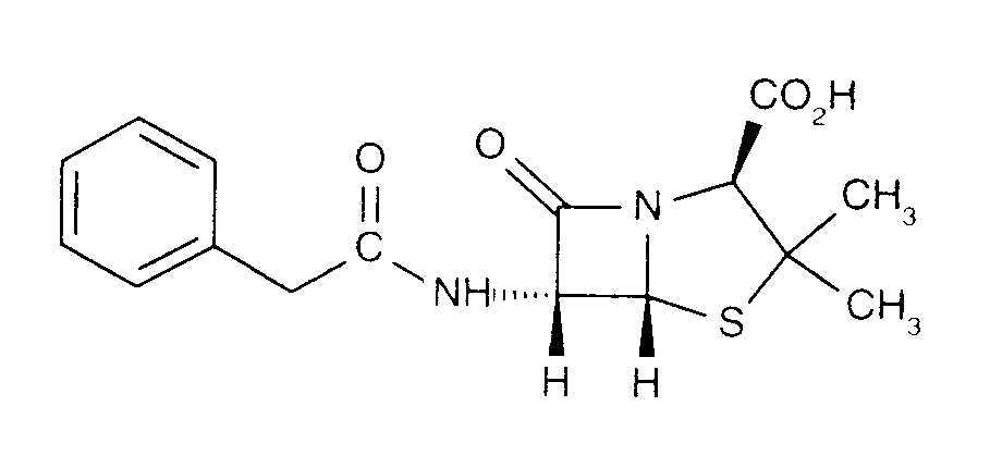
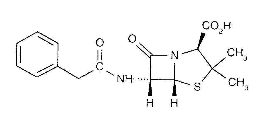
   化学構造  

商品名   商品名     

商品名、賦形剤は国、製薬会社ごとに異なることがあります

Benapen ブラジル
Bencilpenicilina エクアドル, チリ, ペルー
Benpen アーストラリア, ニュージーランド
Bensylpenicillin スウェーデン
Benzapen イラン
Benzatec 南アフリカ共和国
Benzatron ブラジル
Benzylpenicillin エジプト, スウェーデン, デンマーク, ノルウェー, フィンランド
Benzylpenicilline チュニジア
Biconcillina エクアドル
Crystapen アイルランド, イギリス, カナダ
Declin メキシコ
Fortepen サウジアラビア
Geepenil フィンランド
Natrium penicillin G オランダ
Novopen 南アフリカ共和国
Pebencil ベネズエラ
Penbendox メキシコ
Penibiot スペイン
Penicillin ノルウェー
Penicillina G sodica アルゼンチン, エクアドル, コロンビア, チリ, ポルトガル
Penilevel スペイン
Sodiopen スペイン
Unicillina スペイン
溶媒内の安定性   注射薬   溶媒内の安定性 : Penicillin G sodium     
容器 溶媒 濃度 温度 保管 安定期間 引用文献
ガラス 注射用水 0.01 MUI/ml 2-8°C 遮光
7 日
4922
エビデンスレベル D

ガラス NaCl 0.9% + フェノール  0.4% 0.01 MUI/ml 2-8°C 遮光
2 日
4922
エビデンスレベル D

ポリ塩化ビニル(PVC) 注射用水 0,1 & 0,2 MUI/ml 25°C 特記なし
3 日
13
エビデンスレベル B

ポリ塩化ビニル(PVC) 注射用水 0,18 MUI/ml -20°C 遮光
30 日
440
エビデンスレベル D

ポリ塩化ビニル(PVC) NaCl 0,9% ?? MUI/ml 5°C 遮光
2 日
1263
エビデンスレベル B

ポリ塩化ビニル(PVC) NaCl 0,9% 0.0025 MUI/ml 5°C 特記なし
21 日
3648
エビデンスレベル B+

ポリ塩化ビニル(PVC) NaCl 0,9% 0.05 MUI/ml 5°C 特記なし
21 日
3648
エビデンスレベル B+

ポリ塩化ビニル(PVC) グルコース5% 0,04 MUI/ml -20°C 遮光
39 日
1241
エビデンスレベル B

ポリ塩化ビニル(PVC) グルコース5% 0.0025 MUI/ml 5°C 特記なし
21 日
3648
エビデンスレベル B+

ポリ塩化ビニル(PVC) グルコース5% 0.05 MUI/ml 5°C 特記なし
21 日
3648
エビデンスレベル B+

シリンジ ポリプロピレン 注射用水 0.01 MUI/ml 2-8°C 遮光
7 日
4922
エビデンスレベル D

シリンジ ポリプロピレン NaCl 0.9% + フェノール  0.4% 0.01 MUI/ml 2-8°C 遮光
2 日
4922
エビデンスレベル D

ポリイソプレンエラストマー NaCl 0,9% 0.0025 MUI/ml 5°C 特記なし
21 日
3648
エビデンスレベル B+

ポリイソプレンエラストマー NaCl 0,9% 0.05 MUI/ml 5°C 特記なし
21 日
3648
エビデンスレベル B+

ポリイソプレンエラストマー グルコース5% 0.0025 MUI/ml 5°C 特記なし
21 日
3648
エビデンスレベル B+

ポリイソプレンエラストマー グルコース5% 0.05 MUI/ml 5°C 特記なし
21 日
3648
エビデンスレベル B+

ポリイソプレンエラストマー NaCl 0.9%タンポンクエン酸塩0.3%pH7 0.025 & 0.1 MUI/ml 2-8°C 遮光
6 日
4590
エビデンスレベル A

ポリイソプレンエラストマー NaCl 0.9%タンポンクエン酸塩0.3%pH7 0.025 & 0.1 MUI/ml 37°C 遮光
24 時間
4590
エビデンスレベル A

シリコーンエラストマー NaCl 0.9%タンポンクエン酸塩0.3%pH7 10 MUI/ml 2-8°C 特記なし
7 日
4874
エビデンスレベル D

シリコーンエラストマー NaCl 0.9%タンポンクエン酸塩0.3%pH7 20 MUI/ml 2-8°C 特記なし
7 日
4874
エビデンスレベル D

シリコーンエラストマー NaCl 0.9%タンポンクエン酸塩0.3%pH7 40 MUI/ml 2-8°C 特記なし
7 日
4874
エビデンスレベル D

指定なし NaCl 0,9% 0,13 MUI/ml 21°C-22°C 特記なし
13 時間
2056
エビデンスレベル D

指定なし NaCl 0,9% 0,13 MUI/ml 26°C 特記なし
12 時間
2056
エビデンスレベル D

指定なし NaCl 0,9% 0,13 MUI/ml 3-5°C 特記なし
6 日
2056
エビデンスレベル D

指定なし NaCl 0,9% 0,13 MUI/ml 36°C 特記なし
5 時間
2056
エビデンスレベル D


  Mentions Légales