viimane versioon :
27/04/2026
antibiootikum   Penicillin G sodium  
Süsteravim
Stabiilsus lahustes Stabiilsust mõjutavad tegurid stabiilsust mõjutavad faktorid Sobimatus Manustamis viis Viited pdf
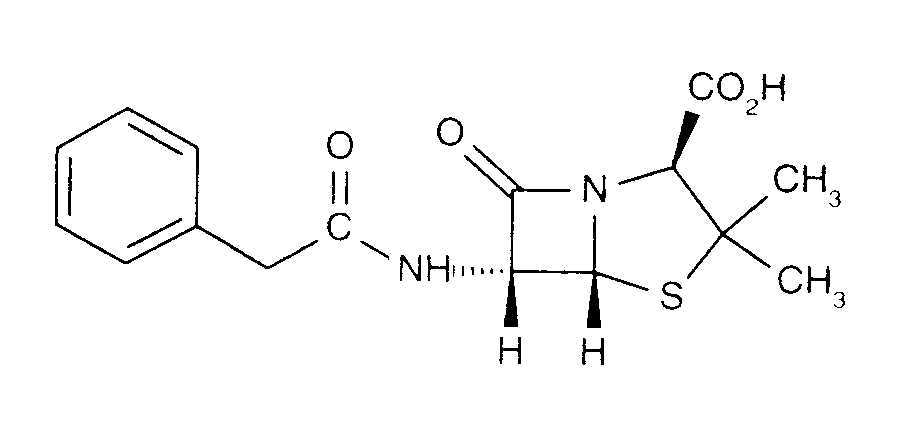
   keemiline struktuur  

Kaubanduslikud nimed erinevates maades   Kaubanduslikud nimed erinevates maades     

Preparaatide nimed on näitlikud ja abianete sisaldus võib erineda sõltuvalt riigist ja laborist

Benapen Brasiilia
Bencilpenicilina Ecuador, Maroko, Tšiili
Benpen Austraalia, uus-Meremaa
Bensylpenicillin Rootsi
Benzapen Iraan
Benzatec Lõuna Aafrika Vabariik
Benzatron Brasiilia
Benzylpenicillin Egiptus, Norra, Rootsi, Soome, Taani
Benzylpenicilline Tuneesia
Biconcillina Ecuador
Crystapen Iirimaa, Kanada, Suurbritannia
Declin Mehhiko
Fortepen Saudi Araabia
Geepenil Soome
Natrium penicillin G Holland
Novopen Lõuna Aafrika Vabariik
Pebencil Venetsueela
Penbendox Mehhiko
Penibiot Hispaania
Penicillin Norra
Penicillina G sodica Argentiina, Ecuador, Kolumbia, Portugal, Tšiili
Penilevel Hispaania
Sodiopen Hispaania
Unicillina Hispaania
Stabiilsus lahustes   Süsteravim   Stabiilsus lahustes : Penicillin G sodium     
konteiner lahusti kontsentratsioon temperatuur ladustamine Stabiilsuse kestus Viited
klaas süstevesi 0.01 MUI/ml 2-8°C kaitsta valguse eest
7 päev
4922
Tõenduspõhisuse tase D

klaas NaCl 0.9% + fenool 0.4% 0.01 MUI/ml 2-8°C kaitsta valguse eest
2 päev
4922
Tõenduspõhisuse tase D

polüvinüülkloriid süstevesi 0,1 & 0,2 MUI/ml 25°C pole täpsustatud
3 päev
13
Tõenduspõhisuse tase B

polüvinüülkloriid süstevesi 0,18 MUI/ml -20°C kaitsta valguse eest
30 päev
440
Tõenduspõhisuse tase D

polüvinüülkloriid naatriumkloriid 0.9% ?? MUI/ml 5°C kaitsta valguse eest
2 päev
1263
Tõenduspõhisuse tase B

polüvinüülkloriid naatriumkloriid 0.9% 0.0025 MUI/ml 5°C pole täpsustatud
21 päev
3648
Tõenduspõhisuse tase B+

polüvinüülkloriid naatriumkloriid 0.9% 0.05 MUI/ml 5°C pole täpsustatud
21 päev
3648
Tõenduspõhisuse tase B+

polüvinüülkloriid glükoos 5% 0,04 MUI/ml -20°C kaitsta valguse eest
39 päev
1241
Tõenduspõhisuse tase B

polüvinüülkloriid glükoos 5% 0.0025 MUI/ml 5°C pole täpsustatud
21 päev
3648
Tõenduspõhisuse tase B+

polüvinüülkloriid glükoos 5% 0.05 MUI/ml 5°C pole täpsustatud
21 päev
3648
Tõenduspõhisuse tase B+

süstal  polüpropüleenist süstevesi 0.01 MUI/ml 2-8°C kaitsta valguse eest
7 päev
4922
Tõenduspõhisuse tase D

süstal  polüpropüleenist NaCl 0.9% + fenool 0.4% 0.01 MUI/ml 2-8°C kaitsta valguse eest
2 päev
4922
Tõenduspõhisuse tase D

Polüisopreenist elastomeer naatriumkloriid 0.9% 0.0025 MUI/ml 5°C pole täpsustatud
21 päev
3648
Tõenduspõhisuse tase B+

Polüisopreenist elastomeer naatriumkloriid 0.9% 0.05 MUI/ml 5°C pole täpsustatud
21 päev
3648
Tõenduspõhisuse tase B+

Polüisopreenist elastomeer glükoos 5% 0.0025 MUI/ml 5°C pole täpsustatud
21 päev
3648
Tõenduspõhisuse tase B+

Polüisopreenist elastomeer glükoos 5% 0.05 MUI/ml 5°C pole täpsustatud
21 päev
3648
Tõenduspõhisuse tase B+

Polüisopreenist elastomeer NaCl 0,9% tsitraatpuhver 0,3% pH7 0.025 & 0.1 MUI/ml 2-8°C kaitsta valguse eest
6 päev
4590
Tõenduspõhisuse tase A

Polüisopreenist elastomeer NaCl 0,9% tsitraatpuhver 0,3% pH7 0.025 & 0.1 MUI/ml 37°C kaitsta valguse eest
24 Tund
4590
Tõenduspõhisuse tase A

Silikoon elastomeer NaCl 0,9% tsitraatpuhver 0,3% pH7 10 MUI/ml 2-8°C pole täpsustatud
7 päev
4874
Tõenduspõhisuse tase D

Silikoon elastomeer NaCl 0,9% tsitraatpuhver 0,3% pH7 20 MUI/ml 2-8°C pole täpsustatud
7 päev
4874
Tõenduspõhisuse tase D

Silikoon elastomeer NaCl 0,9% tsitraatpuhver 0,3% pH7 40 MUI/ml 2-8°C pole täpsustatud
7 päev
4874
Tõenduspõhisuse tase D

pole täpsustatud naatriumkloriid 0.9% 0,13 MUI/ml 21°C-22°C pole täpsustatud
13 Tund
2056
Tõenduspõhisuse tase D

pole täpsustatud naatriumkloriid 0.9% 0,13 MUI/ml 26°C pole täpsustatud
12 Tund
2056
Tõenduspõhisuse tase D

pole täpsustatud naatriumkloriid 0.9% 0,13 MUI/ml 3-5°C pole täpsustatud
6 päev
2056
Tõenduspõhisuse tase D

pole täpsustatud naatriumkloriid 0.9% 0,13 MUI/ml 36°C pole täpsustatud
5 Tund
2056
Tõenduspõhisuse tase D


  Mentions Légales