最新更新 :
18/03/2026
抗生素   Penicillin G sodium  
注射液
溶液稳定性 混合物稳定性 影响稳定性的因素 兼容性 用药途径 引用文献 PDF
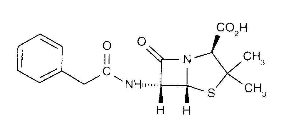
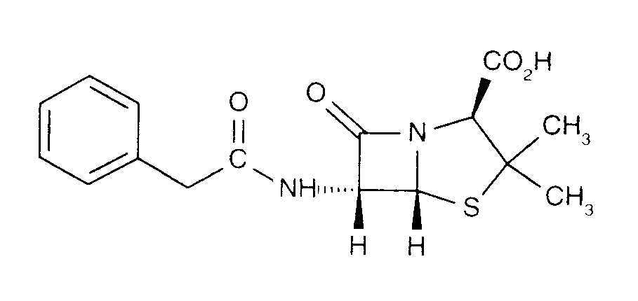
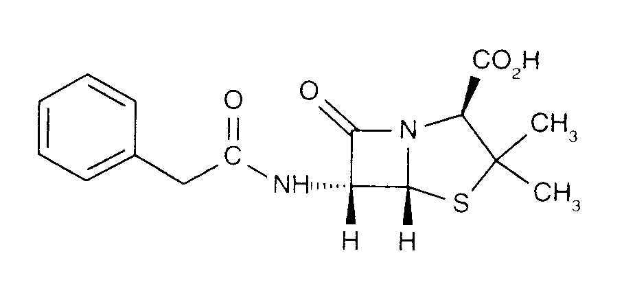
   化学式  

商品名   商品名     

商品名仅供参考, 药品所用的辅料可能依国家或厂商不同有所不同。

Benapen 巴西
Bencilpenicilina 厄瓜多尔, 智利, 秘鲁
Benpen 新西蘭, 澳大利亚
Bensylpenicillin 瑞典
Benzapen 伊朗
Benzatec 南非
Benzatron 巴西
Benzylpenicillin 丹麦, 埃及, 挪威, 瑞典, 芬兰
Benzylpenicilline 突尼斯
Biconcillina 厄瓜多尔
Crystapen 加拿大, 爱尔兰, 英国
Declin 墨西哥
Fortepen 沙特阿拉伯
Geepenil 芬兰
Natrium penicillin G 荷兰
Novopen 南非
Pebencil 委内瑞拉
Penbendox 墨西哥
Penibiot 西班牙
Penicillin 挪威
Penicillina G sodica 厄瓜多尔, 哥伦比亚, 智利, 葡萄牙, 阿根廷
Penilevel 西班牙
Sodiopen 西班牙
Unicillina 西班牙
溶液稳定性   注射液   溶液稳定性 : Penicillin G sodium     
容器 溶剂 浓度 温度 保存 穩定持續時間 引用文献
玻璃 注射用水 0.01 MUI/ml 2-8°C 避光
7 白天
4922
D级

玻璃 NaCl 0.9% + 苯酚 0.4% 0.01 MUI/ml 2-8°C 避光
2 白天
4922
D级

聚氯乙烯 注射用水 0,1 & 0,2 MUI/ml 25°C 无特殊要求
3 白天
13
B级

聚氯乙烯 注射用水 0,18 MUI/ml -20°C 避光
30 白天
440
D级

聚氯乙烯 NaCl 0,9% ?? MUI/ml 5°C 避光
2 白天
1263
B级

聚氯乙烯 NaCl 0,9% 0.0025 MUI/ml 5°C 无特殊要求
21 白天
3648
B+级

聚氯乙烯 NaCl 0,9% 0.05 MUI/ml 5°C 无特殊要求
21 白天
3648
B+级

聚氯乙烯 葡萄糖5% 0,04 MUI/ml -20°C 避光
39 白天
1241
B级

聚氯乙烯 葡萄糖5% 0.0025 MUI/ml 5°C 无特殊要求
21 白天
3648
B+级

聚氯乙烯 葡萄糖5% 0.05 MUI/ml 5°C 无特殊要求
21 白天
3648
B+级

注射器  聚丙烯 注射用水 0.01 MUI/ml 2-8°C 避光
7 白天
4922
D级

注射器  聚丙烯 NaCl 0.9% + 苯酚 0.4% 0.01 MUI/ml 2-8°C 避光
2 白天
4922
D级

聚異戊二烯彈性體 NaCl 0,9% 0.0025 MUI/ml 5°C 无特殊要求
21 白天
3648
B+级

聚異戊二烯彈性體 NaCl 0,9% 0.05 MUI/ml 5°C 无特殊要求
21 白天
3648
B+级

聚異戊二烯彈性體 葡萄糖5% 0.0025 MUI/ml 5°C 无特殊要求
21 白天
3648
B+级

聚異戊二烯彈性體 葡萄糖5% 0.05 MUI/ml 5°C 无特殊要求
21 白天
3648
B+级

聚異戊二烯彈性體 氯化鈉0.9%檸檬酸鹽緩衝液0.3%pH7 0.025 & 0.1 MUI/ml 2-8°C 避光
6 白天
4590
A级

聚異戊二烯彈性體 氯化鈉0.9%檸檬酸鹽緩衝液0.3%pH7 0.025 & 0.1 MUI/ml 37°C 避光
24 小时
4590
A级

有機矽彈性體 氯化鈉0.9%檸檬酸鹽緩衝液0.3%pH7 10 MUI/ml 2-8°C 无特殊要求
7 白天
4874
D级

有機矽彈性體 氯化鈉0.9%檸檬酸鹽緩衝液0.3%pH7 20 MUI/ml 2-8°C 无特殊要求
7 白天
4874
D级

有機矽彈性體 氯化鈉0.9%檸檬酸鹽緩衝液0.3%pH7 40 MUI/ml 2-8°C 无特殊要求
7 白天
4874
D级

不详 NaCl 0,9% 0,13 MUI/ml 21°C-22°C 无特殊要求
13 小时
2056
D级

不详 NaCl 0,9% 0,13 MUI/ml 26°C 无特殊要求
12 小时
2056
D级

不详 NaCl 0,9% 0,13 MUI/ml 3-5°C 无特殊要求
6 白天
2056
D级

不详 NaCl 0,9% 0,13 MUI/ml 36°C 无特殊要求
5 小时
2056
D级


  Mentions Légales