Poslední aktualizace :
05/12/2025
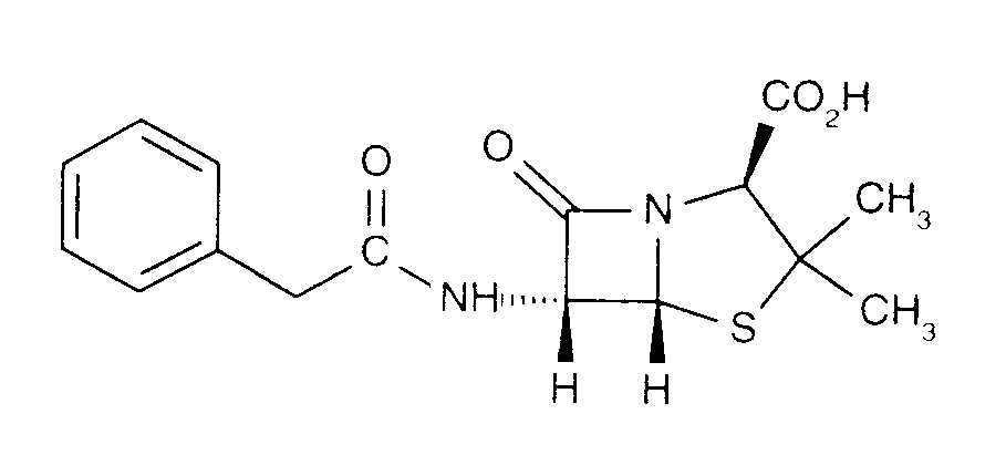
Antibiotikum   Penicillin G sodium  
injekce
Stabilita roztoků Stabilita směsí Faktory ovlivňující stabilitu Kompatibilita Způsoby aplikace Odkazy pdf
   Chemický vzorec  

Obchodní název   Obchodní název     

Trade names are indicative and excipients composition can be different depending on the country and manufacturers

Benapen BrazÌlie
Bencilpenicilina Chile, Ekvádor, Peru
Benpen Austrálie, nový Zéland
Bensylpenicillin Švédsko
Benzapen Írán
Benzatec Jihoafrická republika
Benzatron BrazÌlie
Benzylpenicillin Dánsko, Egypt, Finsko, Norsko, Švédsko
Benzylpenicilline Tunisko
Biconcillina Ekvádor
Crystapen Irsko, Kanada, Velká Británie
Declin Mexiko
Fortepen Saúdská Arábie
Geepenil Finsko
Natrium penicillin G Nizozemsko
Novopen Jihoafrická republika
Pebencil Venezuela
Penbendox Mexiko
Penibiot äpanÏlsko
Penicillin Norsko
Penicillina G sodica Argentina, Chile, Ekvádor, Kolumbie, Portugalsko
Penilevel äpanÏlsko
Sodiopen äpanÏlsko
Unicillina äpanÏlsko
Stabilita roztoků   injekce   Stabilita roztoků : Penicillin G sodium     
Obal RozpouötÏdlo Koncentrace Teplota Uchovávání Trvání stability Odkazy
Sklo Voda pro injekci 0.01 MUI/ml 2-8°C Chráněno před světlem
7 Den
4922
Úroveň zkoušky D

Sklo NaCl 0.9% + fenol 0.4% 0.01 MUI/ml 2-8°C Chráněno před světlem
2 Den
4922
Úroveň zkoušky D

Polyvinyl chlorid Voda pro injekci 0,1 & 0,2 MUI/ml 25°C Nespecifikováno
3 Den
13
Úroveň zkoušky B

Polyvinyl chlorid Voda pro injekci 0,18 MUI/ml -20°C Chráněno před světlem
30 Den
440
Úroveň zkoušky D

Polyvinyl chlorid NaCl 0,9% nebo GlukÛza 5% 0.0025 MUI/ml 5°C Nespecifikováno
21 Den
3648
Úroveň zkoušky B+

Polyvinyl chlorid NaCl 0,9% nebo GlukÛza 5% 0.05 MUI/ml 5°C Nespecifikováno
21 Den
3648
Úroveň zkoušky B+

Polyvinyl chlorid Chlorid sodný 0,9% ?? MUI/ml 5°C Chráněno před světlem
2 Den
1263
Úroveň zkoušky B

Polyvinyl chlorid GlukÛza 5% 0,04 MUI/ml -20°C Chráněno před světlem
39 Den
1241
Úroveň zkoušky B

stříkačka polypropylen Voda pro injekci 0.01 MUI/ml 2-8°C Chráněno před světlem
7 Den
4922
Úroveň zkoušky D

stříkačka polypropylen NaCl 0.9% + fenol 0.4% 0.01 MUI/ml 2-8°C Chráněno před světlem
2 Den
4922
Úroveň zkoušky D

Polyisoprenový elastomer NaCl 0,9% nebo GlukÛza 5% 0.0025 MUI/ml 5°C Nespecifikováno
21 Den
3648
Úroveň zkoušky B+

Polyisoprenový elastomer NaCl 0,9% nebo GlukÛza 5% 0.05 MUI/ml 5°C Nespecifikováno
21 Den
3648
Úroveň zkoušky B+

Polyisoprenový elastomer NaCl 0,9% tampon citrát 0,3% pH7 0.025 & 0.1 MUI/ml 2-8°C Chráněno před světlem
6 Den
4590
Úroveň zkoušky A

Polyisoprenový elastomer NaCl 0,9% tampon citrát 0,3% pH7 0.025 & 0.1 MUI/ml 37°C Chráněno před světlem
24 Hodina
4590
Úroveň zkoušky A

Silikonový elastomer NaCl 0,9% tampon citrát 0,3% pH7 10 MUI/ml 2-8°C Nespecifikováno
7 Den
4874
Úroveň zkoušky D

Silikonový elastomer NaCl 0,9% tampon citrát 0,3% pH7 20 MUI/ml 2-8°C Nespecifikováno
7 Den
4874
Úroveň zkoušky D

Silikonový elastomer NaCl 0,9% tampon citrát 0,3% pH7 40 MUI/ml 2-8°C Nespecifikováno
7 Den
4874
Úroveň zkoušky D

Nespecifikováno Chlorid sodný 0,9% 0,13 MUI/ml 21°C-22°C Nespecifikováno
13 Hodina
2056
Úroveň zkoušky D

Nespecifikováno Chlorid sodný 0,9% 0,13 MUI/ml 26°C Nespecifikováno
12 Hodina
2056
Úroveň zkoušky D

Nespecifikováno Chlorid sodný 0,9% 0,13 MUI/ml 3-5°C Nespecifikováno
6 Den
2056
Úroveň zkoušky D

Nespecifikováno Chlorid sodný 0,9% 0,13 MUI/ml 36°C Nespecifikováno
5 Hodina
2056
Úroveň zkoušky D


  Mentions Légales