Последно актуализиране :
05/12/2025
Антибиотик   Penicillin G sodium  
Инжекция/Инжекционен
Стабилност на разтвори Стабилност на смеси Фактори, повлияващи стабилността Съвместимост Път на въвеждане Библиография Pdf
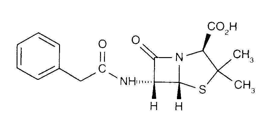
   Химична структура  

Търговско наименование   Търговско наименование     

Търговските имена са примерни и съставът на помощните вещества може да бъде различен в зависимост от държавата и лабораториите

Benapen Бразилия
Bencilpenicilina Еквадор, Перу, Чили
Benpen Австралия, нова Зеландия
Bensylpenicillin Швеция
Benzapen Иран
Benzatec Южноафриканска република / ЮАР
Benzatron Бразилия
Benzylpenicillin Дания, Египет, Норвегия, Финландия, Швеция
Benzylpenicilline Тунис
Biconcillina Еквадор
Crystapen Великобритания, Ирландия, Канада
Declin Мексико
Fortepen Саудитска Арабия
Geepenil Финландия
Natrium penicillin G Холандия
Novopen Южноафриканска република / ЮАР
Pebencil Венецуела
Penbendox Мексико
Penibiot Испания
Penicillin Норвегия
Penicillina G sodica Аржентина, Еквадор, Колумбия, Португалия, Чили
Penilevel Испания
Sodiopen Испания
Unicillina Испания
Стабилност на разтвори   Инжекция/Инжекционен   Стабилност на разтвори : Penicillin G sodium     
Контейнер Разтворител Концентрация Температура Съхранение Продължителност на стабилността Библиография
Стъкло Вода за инжекции 0.01 MUI/ml 2-8°C Защита от светлина
7 Ден
4922
Степен на доказаност D

Стъкло NaCl 0.9% + фенол 0.4% 0.01 MUI/ml 2-8°C Защита от светлина
2 Ден
4922
Степен на доказаност D

Поливинил хлорид Вода за инжекции 0,1 & 0,2 MUI/ml 25°C Не е уточнено
3 Ден
13
Степен на доказаност B

Поливинил хлорид Вода за инжекции 0,18 MUI/ml -20°C Защита от светлина
30 Ден
440
Степен на доказаност D

Поливинил хлорид NaCl 0,9% or Glucose 5% 0.0025 MUI/ml 5°C Не е уточнено
21 Ден
3648
Степен на доказаност B+

Поливинил хлорид NaCl 0,9% or Glucose 5% 0.05 MUI/ml 5°C Не е уточнено
21 Ден
3648
Степен на доказаност B+

Поливинил хлорид Sodium chloride 0,9% ?? MUI/ml 5°C Защита от светлина
2 Ден
1263
Степен на доказаност B

Поливинил хлорид Glucose 5% 0,04 MUI/ml -20°C Защита от светлина
39 Ден
1241
Степен на доказаност B

шприц полипропилен Вода за инжекции 0.01 MUI/ml 2-8°C Защита от светлина
7 Ден
4922
Степен на доказаност D

шприц полипропилен NaCl 0.9% + фенол 0.4% 0.01 MUI/ml 2-8°C Защита от светлина
2 Ден
4922
Степен на доказаност D

Полиизопренов еластомер NaCl 0,9% or Glucose 5% 0.0025 MUI/ml 5°C Не е уточнено
21 Ден
3648
Степен на доказаност B+

Полиизопренов еластомер NaCl 0,9% or Glucose 5% 0.05 MUI/ml 5°C Не е уточнено
21 Ден
3648
Степен на доказаност B+

Полиизопренов еластомер NaCl 0.9% цитратен буфер 0.3% pH7 0.025 & 0.1 MUI/ml 2-8°C Защита от светлина
6 Ден
4590
Степен на доказаност A

Полиизопренов еластомер NaCl 0.9% цитратен буфер 0.3% pH7 0.025 & 0.1 MUI/ml 37°C Защита от светлина
24 Час
4590
Степен на доказаност A

Силиконов еластомер NaCl 0.9% цитратен буфер 0.3% pH7 10 MUI/ml 2-8°C Не е уточнено
7 Ден
4874
Степен на доказаност D

Силиконов еластомер NaCl 0.9% цитратен буфер 0.3% pH7 20 MUI/ml 2-8°C Не е уточнено
7 Ден
4874
Степен на доказаност D

Силиконов еластомер NaCl 0.9% цитратен буфер 0.3% pH7 40 MUI/ml 2-8°C Не е уточнено
7 Ден
4874
Степен на доказаност D

Не е уточнено Sodium chloride 0,9% 0,13 MUI/ml 21°C-22°C Не е уточнено
13 Час
2056
Степен на доказаност D

Не е уточнено Sodium chloride 0,9% 0,13 MUI/ml 26°C Не е уточнено
12 Час
2056
Степен на доказаност D

Не е уточнено Sodium chloride 0,9% 0,13 MUI/ml 3-5°C Не е уточнено
6 Ден
2056
Степен на доказаност D

Не е уточнено Sodium chloride 0,9% 0,13 MUI/ml 36°C Не е уточнено
5 Час
2056
Степен на доказаност D


  Mentions Légales