Останнє оновлення :
27/01/2026
Антибіотик   Penicillin G sodium  
ін'єкція
Стійкість в розчинах Стійкість сумішей Фактори, що впливають на стабільність Сумісність Шлях введення Список літератури pdf
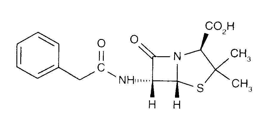
   Хімічна структура  

Торгова назва   Торгова назва     

Торгові назви є орієнтовними, а склад допоміжних речовин може бути різним залежно від країни та виробника

Benapen Бразилія
Bencilpenicilina Еквадор, Перу, Чилі
Benpen Австралія, Нова Зеландія
Bensylpenicillin Швеція
Benzapen Іран
Benzatec Південно-Африканська Республіка
Benzatron Бразилія
Benzylpenicillin Єгипет, Данія, Норвегія, Фінляндія, Швеція
Benzylpenicilline Туніс
Biconcillina Еквадор
Crystapen Ірландія, Великобританія, Канада
Declin Мексика
Fortepen Саудівська Аравія
Geepenil Фінляндія
Natrium penicillin G Нідерланди
Novopen Південно-Африканська Республіка
Pebencil Венесуела
Penbendox Мексика
Penibiot Іспанія
Penicillin Норвегія
Penicillina G sodica Аргентина, Еквадор, Колумбія, Португалія, Чилі
Penilevel Іспанія
Sodiopen Іспанія
Unicillina Іспанія
Стійкість в розчинах   ін'єкція   Стійкість в розчинах : Penicillin G sodium     
Контейнер Розчинник Концентрація температура Зберігання Тривалість стабільності Список літератури
скло Вода для ін'єкцій 0.01 MUI/ml 2-8°C Берегти від світла
7 День
4922
Рівень доказовості D

скло NaCl 0.9% + фенол 0.4% 0.01 MUI/ml 2-8°C Берегти від світла
2 День
4922
Рівень доказовості D

Полівініл хлорид Вода для ін'єкцій 0,1 & 0,2 MUI/ml 25°C Не визначено
3 День
13
Рівень доказовості B

Полівініл хлорид Вода для ін'єкцій 0,18 MUI/ml -20°C Берегти від світла
30 День
440
Рівень доказовості D

Полівініл хлорид Натрію хлорид 0,9% ?? MUI/ml 5°C Берегти від світла
2 День
1263
Рівень доказовості B

Полівініл хлорид Натрію хлорид 0,9% 0.0025 MUI/ml 5°C Не визначено
21 День
3648
Рівень доказовості B+

Полівініл хлорид Натрію хлорид 0,9% 0.05 MUI/ml 5°C Не визначено
21 День
3648
Рівень доказовості B+

Полівініл хлорид Глюкоза 5% 0,04 MUI/ml -20°C Берегти від світла
39 День
1241
Рівень доказовості B

Полівініл хлорид Глюкоза 5% 0.0025 MUI/ml 5°C Не визначено
21 День
3648
Рівень доказовості B+

Полівініл хлорид Глюкоза 5% 0.05 MUI/ml 5°C Не визначено
21 День
3648
Рівень доказовості B+

Поліпропіленовий шприц Вода для ін'єкцій 0.01 MUI/ml 2-8°C Берегти від світла
7 День
4922
Рівень доказовості D

Поліпропіленовий шприц NaCl 0.9% + фенол 0.4% 0.01 MUI/ml 2-8°C Берегти від світла
2 День
4922
Рівень доказовості D

Поліізопреновий еластомер Натрію хлорид 0,9% 0.0025 MUI/ml 5°C Не визначено
21 День
3648
Рівень доказовості B+

Поліізопреновий еластомер Натрію хлорид 0,9% 0.05 MUI/ml 5°C Не визначено
21 День
3648
Рівень доказовості B+

Поліізопреновий еластомер Глюкоза 5% 0.0025 MUI/ml 5°C Не визначено
21 День
3648
Рівень доказовості B+

Поліізопреновий еластомер Глюкоза 5% 0.05 MUI/ml 5°C Не визначено
21 День
3648
Рівень доказовості B+

Поліізопреновий еластомер NaCl 0,9% цитратний буфер 0,3% pH7 0.025 & 0.1 MUI/ml 2-8°C Берегти від світла
6 День
4590
Рівень доказовості А

Поліізопреновий еластомер NaCl 0,9% цитратний буфер 0,3% pH7 0.025 & 0.1 MUI/ml 37°C Берегти від світла
24 годину
4590
Рівень доказовості А

Силіконовий еластомер NaCl 0,9% цитратний буфер 0,3% pH7 10 MUI/ml 2-8°C Не визначено
7 День
4874
Рівень доказовості D

Силіконовий еластомер NaCl 0,9% цитратний буфер 0,3% pH7 20 MUI/ml 2-8°C Не визначено
7 День
4874
Рівень доказовості D

Силіконовий еластомер NaCl 0,9% цитратний буфер 0,3% pH7 40 MUI/ml 2-8°C Не визначено
7 День
4874
Рівень доказовості D

Не визначено Натрію хлорид 0,9% 0,13 MUI/ml 21°C-22°C Не визначено
13 годину
2056
Рівень доказовості D

Не визначено Натрію хлорид 0,9% 0,13 MUI/ml 26°C Не визначено
12 годину
2056
Рівень доказовості D

Не визначено Натрію хлорид 0,9% 0,13 MUI/ml 3-5°C Не визначено
6 День
2056
Рівень доказовості D

Не визначено Натрію хлорид 0,9% 0,13 MUI/ml 36°C Не визначено
5 годину
2056
Рівень доказовості D


  Mentions Légales