Letztes “update” :
27/04/2026
Antibiotikum   Penicillin G sodium  
Injektion
Stabilität der Lösung Gemengestabilität Stabilitätbeeinflussende Faktoren Kompatibilitäten Applikationsart Literaturverzeichnis pdf
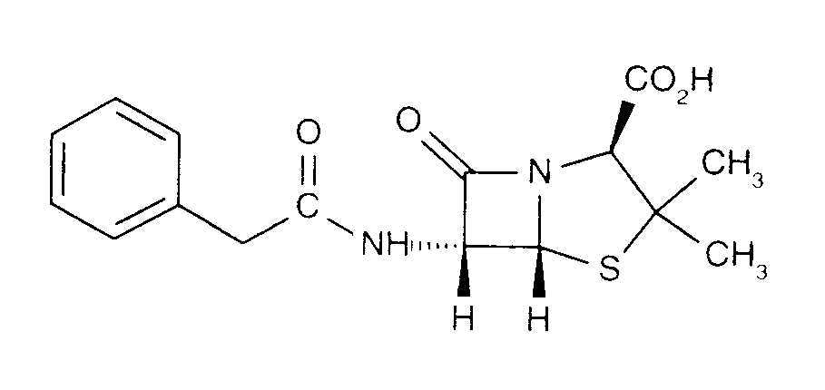
   Chemische Struktur  

Handelsmarke   Handelsmarke     

Handelsnamen sind als beispielhaft anzusehen. Sonstige Bestandteile können je nach Hersteller oder Land verschieden sein

Benapen Brasilien
Bencilpenicilina Chile, Ecuador, Peru
Benpen Australien, Neuseeland
Bensylpenicillin Schweden
Benzapen Iran
Benzatec Südafrika
Benzatron Brasilien
Benzylpenicillin Ägypten, Dänemark, Finnland, Norwegen, Schweden
Benzylpenicilline Tunesien
Biconcillina Ecuador
Crystapen Großbritannien, Irland, Kanada
Declin Mexiko
Fortepen Saudi-Arabien
Geepenil Finnland
Natrium penicillin G Niederlande
Novopen Südafrika
Pebencil Venezuela
Penbendox Mexiko
Penibiot Spanien
Penicillin Norwegen
Penicillina G sodica Argentinien, Chile, Ecuador, Kolumbien, Portugal
Penilevel Spanien
Sodiopen Spanien
Unicillina Spanien
Stabilität der Lösung   Injektion   Stabilität der Lösung : Penicillin G sodium     
Behälter Lösungsmittel Konzentration Temperatur Konservierung Dauer der Stabilität Literaturverzeichnis
Glas Wasser für injektable präparate 0.01 MUI/ml 2-8°C Ohne Licht
7 Tag
4922
Evidenzgrad D

Glas NaCl 0.9% + phenol 0.4% 0.01 MUI/ml 2-8°C Ohne Licht
2 Tag
4922
Evidenzgrad D

Polyvinylchlorid Wasser für injektable präparate 0,1 & 0,2 MUI/ml 25°C Nicht genau angegeben
3 Tag
13
Evidenzgrad B

Polyvinylchlorid Wasser für injektable präparate 0,18 MUI/ml -20°C Ohne Licht
30 Tag
440
Evidenzgrad D

Polyvinylchlorid 0,9% Natriumchlorid ?? MUI/ml 5°C Ohne Licht
2 Tag
1263
Evidenzgrad B

Polyvinylchlorid 0,9% Natriumchlorid 0.0025 MUI/ml 5°C Nicht genau angegeben
21 Tag
3648
Evidenzgrad B+

Polyvinylchlorid 0,9% Natriumchlorid 0.05 MUI/ml 5°C Nicht genau angegeben
21 Tag
3648
Evidenzgrad B+

Polyvinylchlorid 5% Glucose 0,04 MUI/ml -20°C Ohne Licht
39 Tag
1241
Evidenzgrad B

Polyvinylchlorid 5% Glucose 0.0025 MUI/ml 5°C Nicht genau angegeben
21 Tag
3648
Evidenzgrad B+

Polyvinylchlorid 5% Glucose 0.05 MUI/ml 5°C Nicht genau angegeben
21 Tag
3648
Evidenzgrad B+

 Spritze Polypropylen Wasser für injektable präparate 0.01 MUI/ml 2-8°C Ohne Licht
7 Tag
4922
Evidenzgrad D

 Spritze Polypropylen NaCl 0.9% + phenol 0.4% 0.01 MUI/ml 2-8°C Ohne Licht
2 Tag
4922
Evidenzgrad D

Polyisoprenelastomer 0,9% Natriumchlorid 0.0025 MUI/ml 5°C Nicht genau angegeben
21 Tag
3648
Evidenzgrad B+

Polyisoprenelastomer 0,9% Natriumchlorid 0.05 MUI/ml 5°C Nicht genau angegeben
21 Tag
3648
Evidenzgrad B+

Polyisoprenelastomer 5% Glucose 0.0025 MUI/ml 5°C Nicht genau angegeben
21 Tag
3648
Evidenzgrad B+

Polyisoprenelastomer 5% Glucose 0.05 MUI/ml 5°C Nicht genau angegeben
21 Tag
3648
Evidenzgrad B+

Polyisoprenelastomer NaCl 0,9% Citratpuffer 0,3% pH7 0.025 & 0.1 MUI/ml 2-8°C Ohne Licht
6 Tag
4590
Evidenzgrad A

Polyisoprenelastomer NaCl 0,9% Citratpuffer 0,3% pH7 0.025 & 0.1 MUI/ml 37°C Ohne Licht
24 Stunde
4590
Evidenzgrad A

Silikonelastomer NaCl 0,9% Citratpuffer 0,3% pH7 10 MUI/ml 2-8°C Nicht genau angegeben
7 Tag
4874
Evidenzgrad D

Silikonelastomer NaCl 0,9% Citratpuffer 0,3% pH7 20 MUI/ml 2-8°C Nicht genau angegeben
7 Tag
4874
Evidenzgrad D

Silikonelastomer NaCl 0,9% Citratpuffer 0,3% pH7 40 MUI/ml 2-8°C Nicht genau angegeben
7 Tag
4874
Evidenzgrad D

Nicht genau angegeben 0,9% Natriumchlorid 0,13 MUI/ml 21°C-22°C Nicht genau angegeben
13 Stunde
2056
Evidenzgrad D

Nicht genau angegeben 0,9% Natriumchlorid 0,13 MUI/ml 26°C Nicht genau angegeben
12 Stunde
2056
Evidenzgrad D

Nicht genau angegeben 0,9% Natriumchlorid 0,13 MUI/ml 3-5°C Nicht genau angegeben
6 Tag
2056
Evidenzgrad D

Nicht genau angegeben 0,9% Natriumchlorid 0,13 MUI/ml 36°C Nicht genau angegeben
5 Stunde
2056
Evidenzgrad D


  Mentions Légales