Laatste update :
27/04/2026
Antibioticum   Penicillin G sodium  
injecteerbaar geneesmiddel
Stabiliteit in oplossing Stabiliteit in mengsels Factoren die de stabiliteit beïnvloeden Verenigbaarheden Toedieningswijze Literatuur pdf
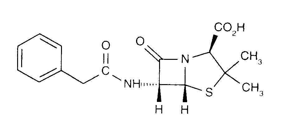
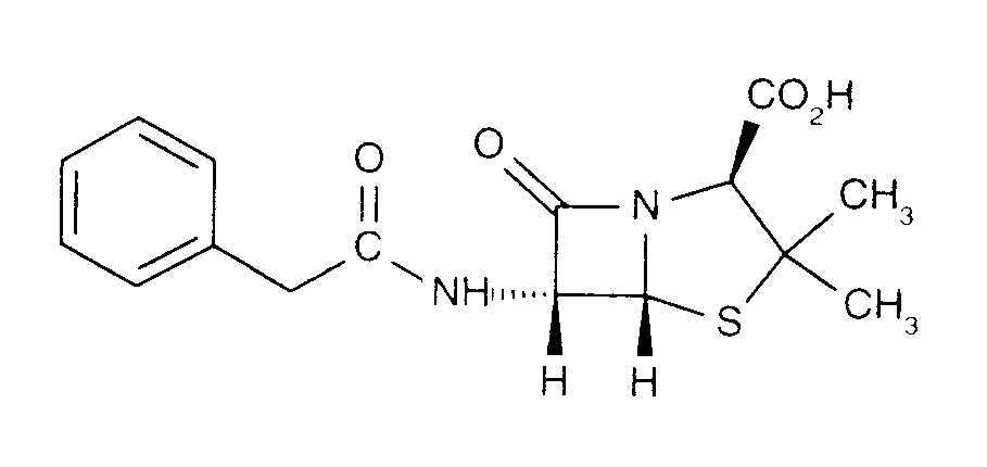
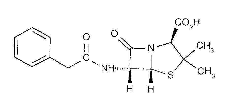
   Molecuulstructuur  

Merknamen in verschillende landen   Merknamen in verschillende landen     

Handelsnamen zijn slechts een indicatie; de samenstelling van hulpstoffen kan per land variëren afhankelijk van de fabrikant

Benapen Brazilië
Bencilpenicilina Chili, Ecuador, Peru
Benpen Australië, nieuw Zeeland
Bensylpenicillin Zweden
Benzapen Iran
Benzatec Zuid-Afrika
Benzatron Brazilië
Benzylpenicillin Denemarken, Egypte, Finland, Noorwegen, Zweden
Benzylpenicilline Tunisie
Biconcillina Ecuador
Crystapen Canada, Groot Britannië, Ierland
Declin Mexico
Fortepen Saudi-Arabië
Geepenil Finland
Natrium penicillin G Nederland
Novopen Zuid-Afrika
Pebencil Venezuela
Penbendox Mexico
Penibiot Spanje
Penicillin Noorwegen
Penicillina G sodica Argentinië, Chili, Colombia, Ecuador, Portugal
Penilevel Spanje
Sodiopen Spanje
Unicillina Spanje
Stabiliteit in oplossing   injecteerbaar geneesmiddel   Stabiliteit in oplossing : Penicillin G sodium     
Verpakking Oplosmiddel Concentratie Temperatuur Bewaring Duur van de stabiliteit Literatuur
Glas Water voor injectie 0.01 MUI/ml 2-8°C Buiten invloed van licht
7 Dag
4922
Bewijsniveau D

Glas NaCl 0.9% + fenol 0.4% 0.01 MUI/ml 2-8°C Buiten invloed van licht
2 Dag
4922
Bewijsniveau D

Polyvinylchloride (PVC) Water voor injectie 0,1 & 0,2 MUI/ml 25°C Niet gespecificeerd
3 Dag
13
Bewijsniveau B

Polyvinylchloride (PVC) Water voor injectie 0,18 MUI/ml -20°C Buiten invloed van licht
30 Dag
440
Bewijsniveau D

Polyvinylchloride (PVC) Natriumchloride 0,9% ?? MUI/ml 5°C Buiten invloed van licht
2 Dag
1263
Bewijsniveau B

Polyvinylchloride (PVC) Natriumchloride 0,9% 0.0025 MUI/ml 5°C Niet gespecificeerd
21 Dag
3648
Niveau van bewijs B+

Polyvinylchloride (PVC) Natriumchloride 0,9% 0.05 MUI/ml 5°C Niet gespecificeerd
21 Dag
3648
Niveau van bewijs B+

Polyvinylchloride (PVC) Glucose 5% 0,04 MUI/ml -20°C Buiten invloed van licht
39 Dag
1241
Bewijsniveau B

Polyvinylchloride (PVC) Glucose 5% 0.0025 MUI/ml 5°C Niet gespecificeerd
21 Dag
3648
Niveau van bewijs B+

Polyvinylchloride (PVC) Glucose 5% 0.05 MUI/ml 5°C Niet gespecificeerd
21 Dag
3648
Niveau van bewijs B+

injectiespuit polypropyleen Water voor injectie 0.01 MUI/ml 2-8°C Buiten invloed van licht
7 Dag
4922
Bewijsniveau D

injectiespuit polypropyleen NaCl 0.9% + fenol 0.4% 0.01 MUI/ml 2-8°C Buiten invloed van licht
2 Dag
4922
Bewijsniveau D

Polyisopreen elastomeer Natriumchloride 0,9% 0.0025 MUI/ml 5°C Niet gespecificeerd
21 Dag
3648
Niveau van bewijs B+

Polyisopreen elastomeer Natriumchloride 0,9% 0.05 MUI/ml 5°C Niet gespecificeerd
21 Dag
3648
Niveau van bewijs B+

Polyisopreen elastomeer Glucose 5% 0.0025 MUI/ml 5°C Niet gespecificeerd
21 Dag
3648
Niveau van bewijs B+

Polyisopreen elastomeer Glucose 5% 0.05 MUI/ml 5°C Niet gespecificeerd
21 Dag
3648
Niveau van bewijs B+

Polyisopreen elastomeer 0.9% NaCl 0,3% citraatbuffer pH7 0.025 & 0.1 MUI/ml 2-8°C Buiten invloed van licht
6 Dag
4590
Bewijsniveau A

Polyisopreen elastomeer 0.9% NaCl 0,3% citraatbuffer pH7 0.025 & 0.1 MUI/ml 37°C Buiten invloed van licht
24 Uur
4590
Bewijsniveau A

Siliconenelastomeer 0.9% NaCl 0,3% citraatbuffer pH7 10 MUI/ml 2-8°C Niet gespecificeerd
7 Dag
4874
Bewijsniveau D

Siliconenelastomeer 0.9% NaCl 0,3% citraatbuffer pH7 20 MUI/ml 2-8°C Niet gespecificeerd
7 Dag
4874
Bewijsniveau D

Siliconenelastomeer 0.9% NaCl 0,3% citraatbuffer pH7 40 MUI/ml 2-8°C Niet gespecificeerd
7 Dag
4874
Bewijsniveau D

Niet gespecificeerd Natriumchloride 0,9% 0,13 MUI/ml 21°C-22°C Niet gespecificeerd
13 Uur
2056
Bewijsniveau D

Niet gespecificeerd Natriumchloride 0,9% 0,13 MUI/ml 26°C Niet gespecificeerd
12 Uur
2056
Bewijsniveau D

Niet gespecificeerd Natriumchloride 0,9% 0,13 MUI/ml 3-5°C Niet gespecificeerd
6 Dag
2056
Bewijsniveau D

Niet gespecificeerd Natriumchloride 0,9% 0,13 MUI/ml 36°C Niet gespecificeerd
5 Uur
2056
Bewijsniveau D


  Mentions Légales