Последнее обновление :
27/04/2026
Антибиотик   Penicillin G sodium  
Инъекция
Стабильность растворов Стабильность смесей Факторы, которые влияют на стабильность Совместимость Способы введения Библиография pdf
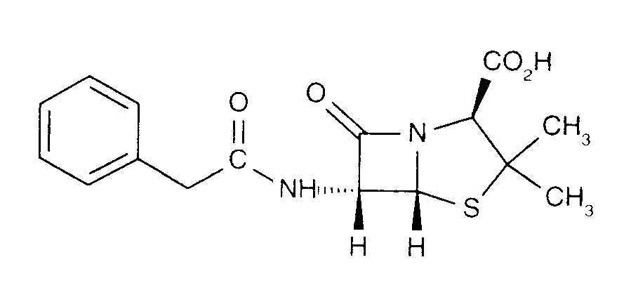
   Химическая структура  

Товарное название   Товарное название     

Trade names are indicative and excipients composition can be different depending on the country and manufacturers

Benapen Бразилия
Bencilpenicilina Перу, чили, Эквадор
Benpen Австралия, новая Зеландия
Bensylpenicillin Швеция
Benzapen Иран
Benzatec Южно-Африканская Республика
Benzatron Бразилия
Benzylpenicillin Дания, Египет, Норвегия, Финляндия, Швеция
Benzylpenicilline Тунис
Biconcillina Эквадор
Crystapen Великобритания, Ирландия, Канада
Declin Мексика
Fortepen Саудовская Аравия
Geepenil Финляндия
Natrium penicillin G Голландия
Novopen Южно-Африканская Республика
Pebencil Венесуэла
Penbendox Мексика
Penibiot Испания
Penicillin Норвегия
Penicillina G sodica Аргентина, Колумбия, Португалия, чили, Эквадор
Penilevel Испания
Sodiopen Испания
Unicillina Испания
Стабильность растворов   Инъекция   Стабильность растворов : Penicillin G sodium     
Упаковка Растворитель Концентрация Температура Хранение Продолжительность стабильности Ссылки
Стекло Вода для инъекций 0.01 MUI/ml 2-8°C Защищён от света
7 День
4922
Уровень доказательности D

Стекло NaCl 0.9% + фенол 0.4% 0.01 MUI/ml 2-8°C Защищён от света
2 День
4922
Уровень доказательности D

Поливинилхлорид Вода для инъекций 0,1 & 0,2 MUI/ml 25°C Не указано
3 День
13
Уровень доказательности B

Поливинилхлорид Вода для инъекций 0,18 MUI/ml -20°C Защищён от света
30 День
440
Уровень доказательности D

Поливинилхлорид Натрия хлорид 0,9% ?? MUI/ml 5°C Защищён от света
2 День
1263
Уровень доказательности B

Поливинилхлорид Натрия хлорид 0,9% 0.0025 MUI/ml 5°C Не указано
21 День
3648
Уровень доказательности B +

Поливинилхлорид Натрия хлорид 0,9% 0.05 MUI/ml 5°C Не указано
21 День
3648
Уровень доказательности B +

Поливинилхлорид Глюкоза 5% 0,04 MUI/ml -20°C Защищён от света
39 День
1241
Уровень доказательности B

Поливинилхлорид Глюкоза 5% 0.0025 MUI/ml 5°C Не указано
21 День
3648
Уровень доказательности B +

Поливинилхлорид Глюкоза 5% 0.05 MUI/ml 5°C Не указано
21 День
3648
Уровень доказательности B +

Шприц полипропилен Вода для инъекций 0.01 MUI/ml 2-8°C Защищён от света
7 День
4922
Уровень доказательности D

Шприц полипропилен NaCl 0.9% + фенол 0.4% 0.01 MUI/ml 2-8°C Защищён от света
2 День
4922
Уровень доказательности D

Полиизопреновый эластомер Натрия хлорид 0,9% 0.0025 MUI/ml 5°C Не указано
21 День
3648
Уровень доказательности B +

Полиизопреновый эластомер Натрия хлорид 0,9% 0.05 MUI/ml 5°C Не указано
21 День
3648
Уровень доказательности B +

Полиизопреновый эластомер Глюкоза 5% 0.0025 MUI/ml 5°C Не указано
21 День
3648
Уровень доказательности B +

Полиизопреновый эластомер Глюкоза 5% 0.05 MUI/ml 5°C Не указано
21 День
3648
Уровень доказательности B +

Полиизопреновый эластомер NaCl 0,9% цитрат тампона 0,3% pH7 0.025 & 0.1 MUI/ml 2-8°C Защищён от света
6 День
4590
Уровень доказательности A

Полиизопреновый эластомер NaCl 0,9% цитрат тампона 0,3% pH7 0.025 & 0.1 MUI/ml 37°C Защищён от света
24 Час
4590
Уровень доказательности A

Силиконовый эластомер NaCl 0,9% цитрат тампона 0,3% pH7 10 MUI/ml 2-8°C Не указано
7 День
4874
Уровень доказательности D

Силиконовый эластомер NaCl 0,9% цитрат тампона 0,3% pH7 20 MUI/ml 2-8°C Не указано
7 День
4874
Уровень доказательности D

Силиконовый эластомер NaCl 0,9% цитрат тампона 0,3% pH7 40 MUI/ml 2-8°C Не указано
7 День
4874
Уровень доказательности D

Не указано Натрия хлорид 0,9% 0,13 MUI/ml 21°C-22°C Не указано
13 Час
2056
Уровень доказательности D

Не указано Натрия хлорид 0,9% 0,13 MUI/ml 26°C Не указано
12 Час
2056
Уровень доказательности D

Не указано Натрия хлорид 0,9% 0,13 MUI/ml 3-5°C Не указано
6 День
2056
Уровень доказательности D

Не указано Натрия хлорид 0,9% 0,13 MUI/ml 36°C Не указано
5 Час
2056
Уровень доказательности D


  Mentions Légales