Cập nhật lần cuối :
27/01/2026
Thuốc khử cực giống cura   Cisatracurium besylate  
Dạng tiêm
Tính ổn định của các dung dịch Độ ổn định khi trộn lẫn Những yếu tố ảnh hưởng đến độ ổn định Khả năng tương thích Đường dùng Tài liệu tham khảo Pdf
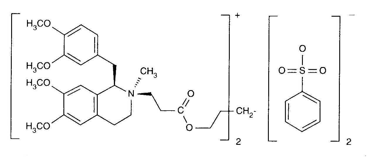
   Cấu trúc hóa học  

Tên thương mại   Tên thương mại     

Các tên thương mại được cung cấp và thành phần tá dược có thể khác nhau giữa các quốc gia và các hãng dược

Bensitrak Mexico
Besilato de cisatracurio
Cicuryl Mexico
Cirium Colombia
Cis Atracure
Cisatracurio Brazil, Chile, Colombia, Ecuador, Peru, Tây Ban Nha, Ý
Cisatracurium Anh, Bỉ, Canada, Hungary, Ireland, Phần Lan, Pháp, Tunisia, Đức
Nimbex Ả Rập, Ả Rập Saudi, Anh, Áo, Ba Lan, Bỉ, Bồ Đào Nha, Canada, Chile, Ecuador, Hà Lan, Hoa Kỳ, Hungary, Hy Lạp, Iran, Ireland, Luxembourg, Malaysia, Mexico, Na Uy, Peru, Phần Lan, Pháp, Slovenia, Tây Ban Nha, Thổ Nhĩ Kỳ, Thụy Điển, Tunisia, United Arab Emirates, Venezuela, Ý, Đan Mạch, Đức
Nimbium Brazil, Colombia
Đường dùng   Đường dùng :Cisatracurium besylate     
Đường dùng
Tiêm tĩnh mạch
Truyền liên tục

  Mentions Légales