Poslední aktualizace :
27/04/2026
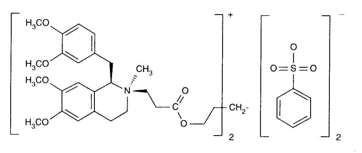
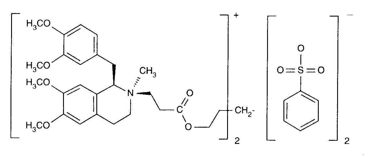
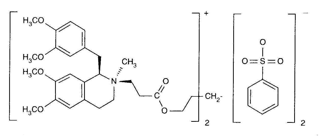
Kurarimimetikas   Cisatracurium besylate  
Įpurškimas
Tirpalų stabilumas Mišinių stabilumas Stabilumą lemiantys veiksniai Suderinamumas Leidimo būdai Bibliografija pdf
   Cheminė sandara  

Prekinis pavadinimas   Prekinis pavadinimas     

Trade names are indicative and excipients composition can be different depending on the country and manufacturers

Bensitrak Meksikas
Besilato de cisatracurio
Cicuryl Meksikas
Cirium Kolumbija
Cis Atracure
Cisatracurio Brazilija, Čilė, Ekvadoras, Ispanija, Italija, Kolumbija, Peru
Cisatracurium Airija, Belgija, Didžioji Britanija, Kanada, Prancūzija, Suomija, Tunisas, Vengrija, Vokietija
Nimbex Airija, Austrija, Belgija, Čilė, Danija, Didžioji Britanija, Egiptas, Ekvadoras, Graikija, Iranas, Ispanija, Italija, Jungtinės Amerikos Valstijos, Jungtiniai Arabų Emyratai, Kanada, Lenkija, Liuksemburgas, Malaizija, Meksikas, Norvegija, Olandija, Peru, Portugalija, Prancūzija, Saudo Arabija, Slovėnija, Suomija, Švedija, Tunisas, Turkija, Venesuela, Vengrija, Vokietija
Nimbium Brazilija, Kolumbija
Leidimo būdai   Leidimo būdai :Cisatracurium besylate     
Voie
Intraveninis
Pastovi infuzija

  Mentions Légales