Letztes “update” :
27/01/2026
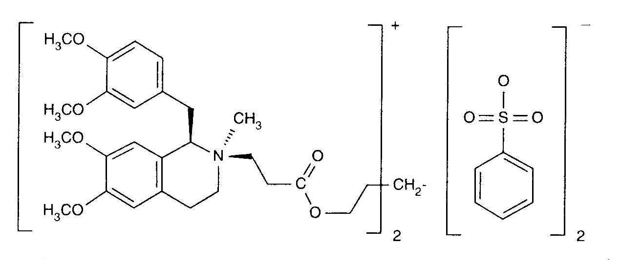
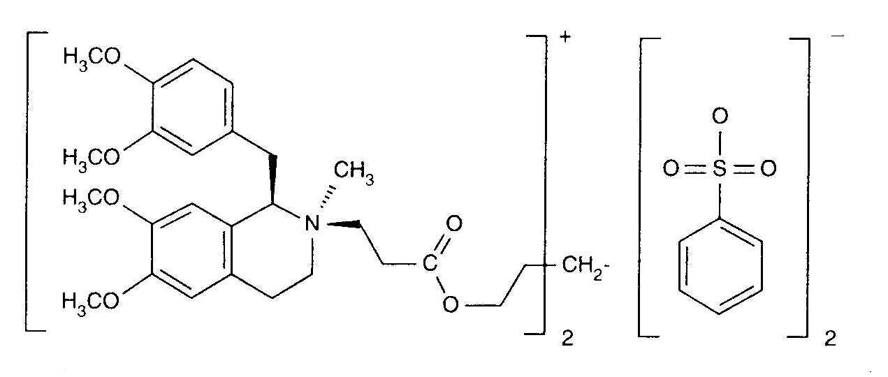
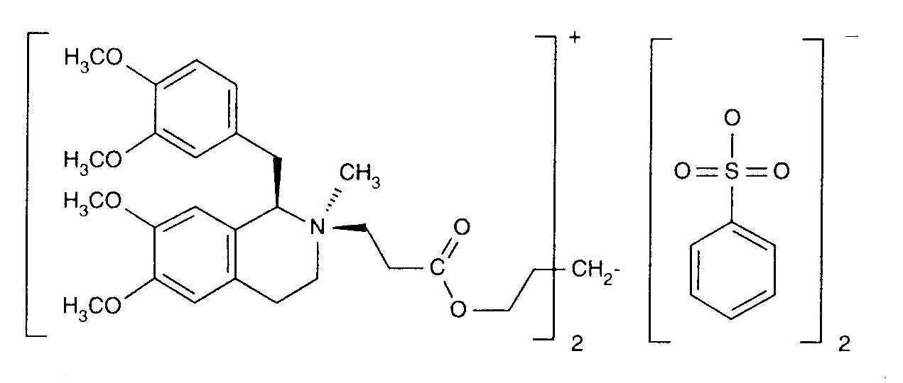
Durch Curarin narkotisierend   Cisatracurium besylate  
Injektion
Stabilität der Lösung Gemengestabilität Stabilitätbeeinflussende Faktoren Kompatibilitäten Applikationsart Literaturverzeichnis pdf
   Chemische Struktur  

Handelsmarke   Handelsmarke     

Handelsnamen sind als beispielhaft anzusehen. Sonstige Bestandteile können je nach Hersteller oder Land verschieden sein

Bensitrak Mexiko
Besilato de cisatracurio
Cicuryl Mexiko
Cirium Kolumbien
Cis Atracure
Cisatracurio Brasilien, Chile, Ecuador, Italien, Kolumbien, Peru, Spanien
Cisatracurium Belgien, Deutschland, Finnland, Frankreich, Großbritannien, Irland, Kanada, Tunesien, Ungarn
Nimbex Ägypten, Belgien, Chile, Dänemark, Deutschland, Ecuador, Finnland, Frankreich, Griechenland, Großbritannien, Iran, Irland, Italien, Kanada, Luxemburg, Malaysia, Mexiko, Niederlande, Norwegen, Österreich, Peru, Polen, Portugal, Saudi-Arabien, Schweden, Slowenien, Spanien, Tunesien, Türkei, Ungarn, Venezuela, Vereinigte Arabische Emirate, Vereinigte Staaten von Amerika
Nimbium Brasilien, Kolumbien
Applikationsart   Applikationsart :Cisatracurium besylate     
Verabreichung
Intravenös
Langzeitperfusion

  Mentions Légales