Последнее обновление :
27/01/2026
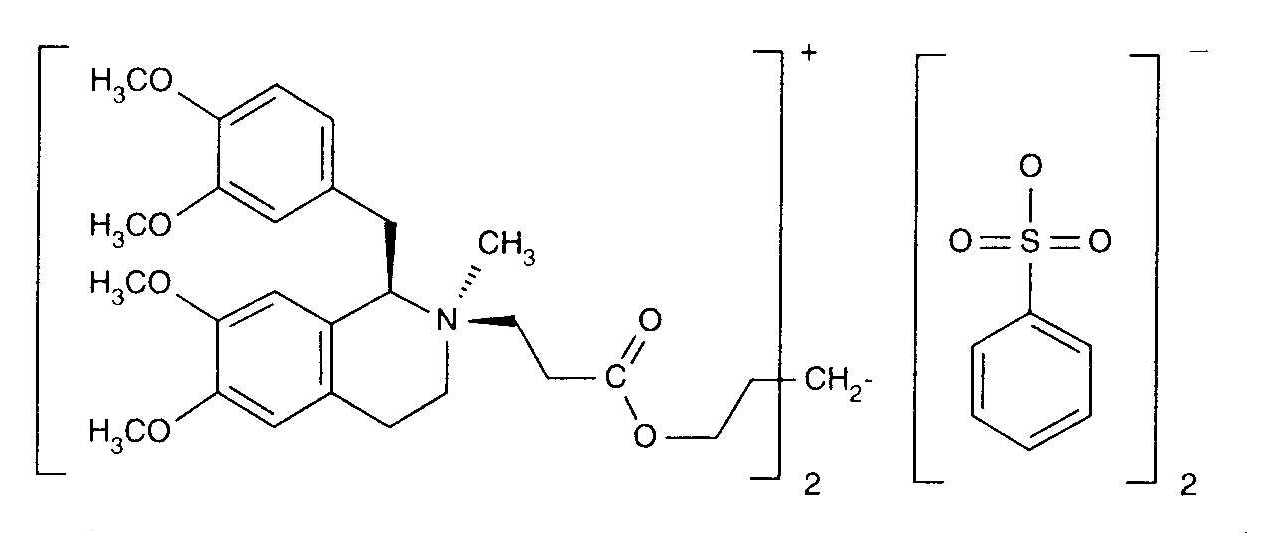
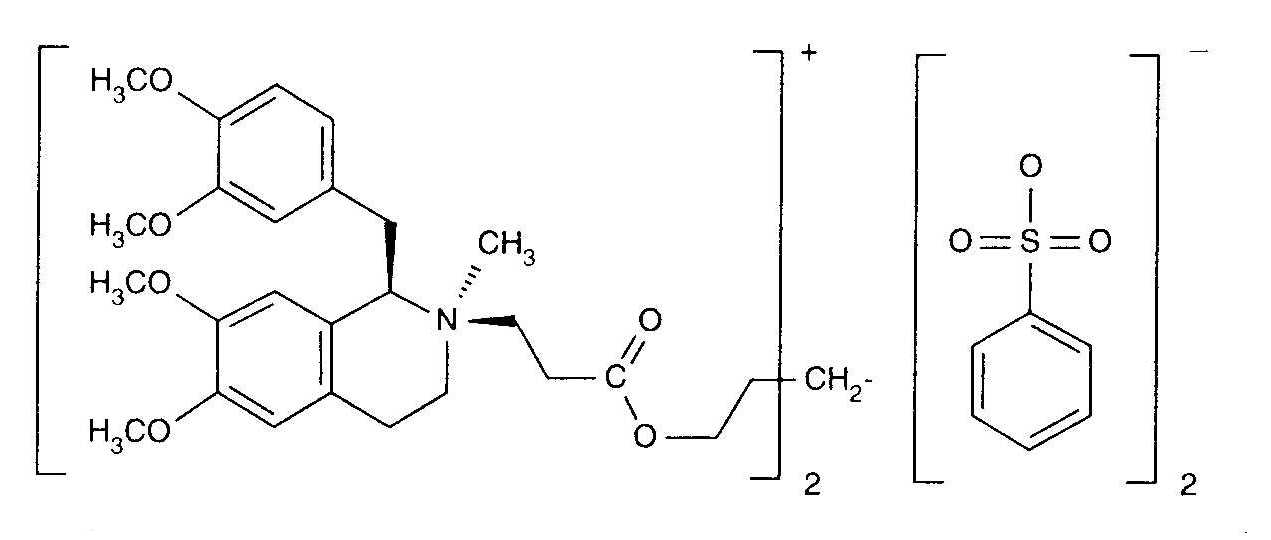
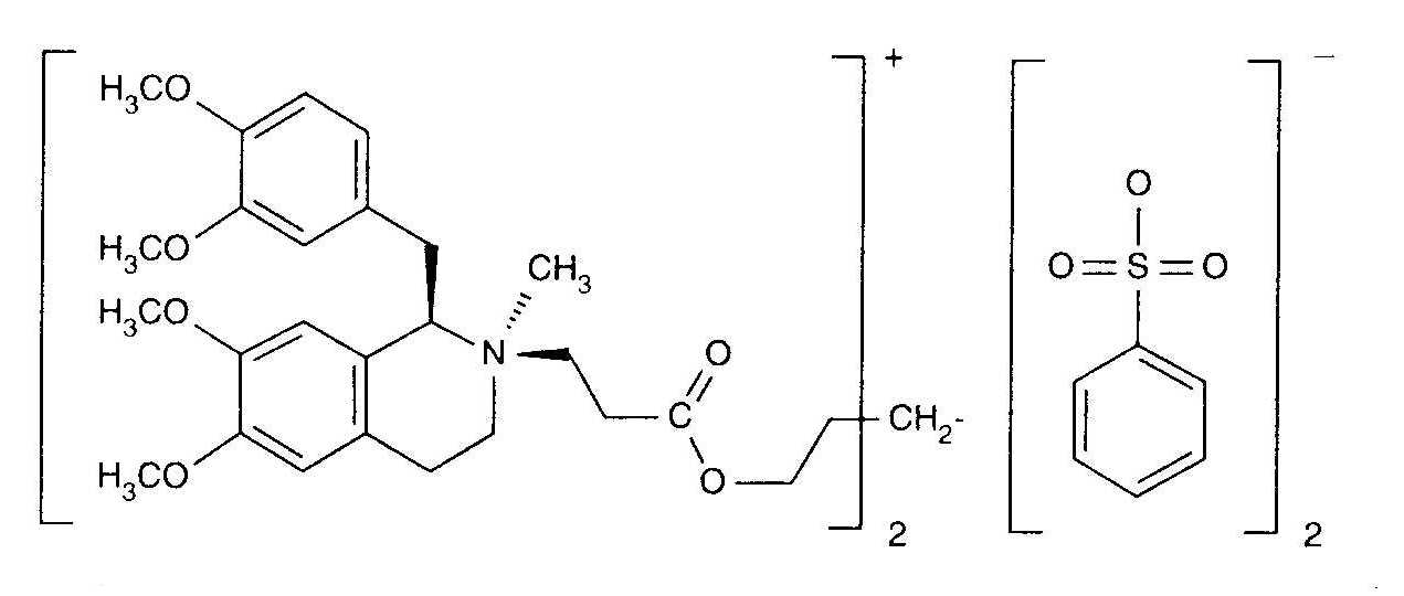
Кураримиметик   Cisatracurium besylate  
Инъекция
Стабильность растворов Стабильность смесей Факторы, которые влияют на стабильность Совместимость Способы введения Библиография pdf
   Химическая структура  

Товарное название   Товарное название     

Trade names are indicative and excipients composition can be different depending on the country and manufacturers

Bensitrak Мексика
Besilato de cisatracurio
Cicuryl Мексика
Cirium Колумбия
Cis Atracure
Cisatracurio Бразилия, Испания, Италия, Колумбия, Перу, чили, Эквадор
Cisatracurium Бельгия, Великобритания, Венгрия, Германия, Ирландия, Канада, Тунис, Финляндия, Франция
Nimbex Австрия, Бельгия, Великобритания, Венгрия, Венесуэла, Германия, Голландия, Греция, Дания, Египет, Иран, Ирландия, Испания, Италия, Канада, Люксембург, Малайзия, Мексика, Норвегия, Объединенные Арабские Эмираты, Перу, Польша, Португалия, Саудовская Аравия, Словения, Соединённые Штаты Америки, Тунис, Турция, Финляндия, Франция, чили, Швеция, Эквадор
Nimbium Бразилия, Колумбия
Способы введения   Способы введения :Cisatracurium besylate     
Voie
Интравенный, внутривенный
Постоянная инфузия

  Mentions Légales