Son güncelleme :
27/04/2026
Kurarimimetik   Cisatracurium besylate  
Enjeksiyon
Çözeltilerin stabilitesi Karışımlardaki stabilitesi Stabiliteyi etkileyen faktörler Uyumluluk Uygulama yöntemi Kaynaklar pdf
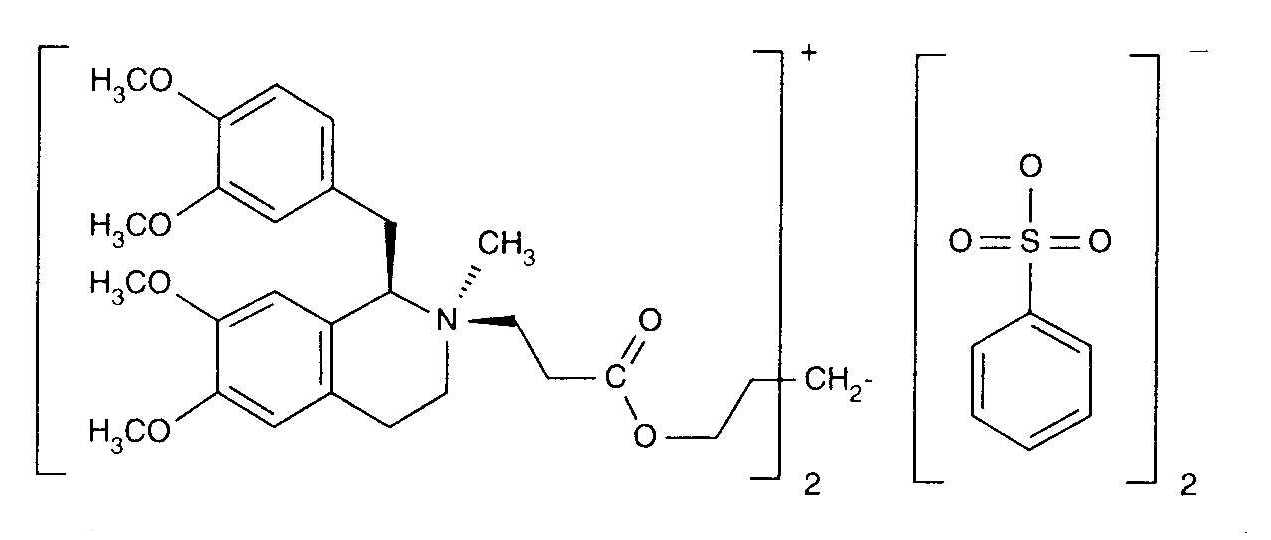
   Kimyasal yapı   

Ticari isim   Ticari isim     

Trade names are indicative and excipients composition can be different depending on the country and manufacturers

Bensitrak Meksika
Besilato de cisatracurio
Cicuryl Meksika
Cirium Kolombiya
Cis Atracure
Cisatracurio Brezilya, Ekvador, İspanya, İtalya, Kolombiya, Peru, Şili
Cisatracurium Almanya, Belçika, Büyük Britanya, Finlandiya, Fransa, İrlanda, Kanada, Macaristan, Tunus
Nimbex Almanya, Amerika Birleşik Devletleri, Avusturya, Belçika, Birleşik Arap Emirlikleri, Büyük Britanya, Danimarka, Ekvador, Finlandiya, Fransa, Hollanda, İran, İrlanda, İspanya, İsveç, İtalya, Kanada, Lüksemburg, Macaristan, Malezya, Meksika, Mısır, Norveç, Peru, Polonya, Portekiz, Şili, Slovenya, Suudi Arabistan, Tunus, Türkiye, Venezuela, Yunanistan
Nimbium Brezilya, Kolombiya
Uygulama yöntemi   Uygulama yöntemi :Cisatracurium besylate     
Voie
İntravenöz
Sürekli infüzyon

  Mentions Légales