Останнє оновлення :
27/04/2026
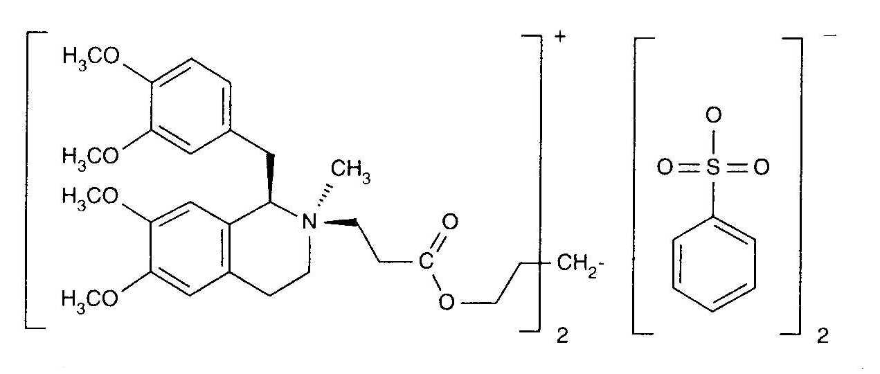
Курариміметик   Cisatracurium besylate  
ін'єкція
Стійкість в розчинах Стійкість сумішей Фактори, що впливають на стабільність Сумісність Шлях введення Список літератури pdf
   Хімічна структура  

Торгова назва   Торгова назва     

Торгові назви є орієнтовними, а склад допоміжних речовин може бути різним залежно від країни та виробника

Bensitrak Мексика
Besilato de cisatracurio
Cicuryl Мексика
Cirium Колумбія
Cis Atracure
Cisatracurio Іспанія, Італія, Бразилія, Еквадор, Колумбія, Перу, Чилі
Cisatracurium Ірландія, Бельгія, Великобританія, Канада, Німеччина, Туніс, Угорщина, Фінляндія, Франція
Nimbex Єгипет, Іран, Ірландія, Іспанія, Італія, Австрія, Бельгія, Великобританія, Венесуела, Греція, Данія, Еквадор, Канада, Люксембург, Малайзія, Мексика, Нідерланди, Німеччина, Норвегія, Об'єднані Арабські Емірати, Перу, Польща, Португалія, Саудівська Аравія, Словенія, Сполучені Штати Америки, Туніс, Туреччина, Угорщина, Фінляндія, Франція, Чилі, Швеція
Nimbium Бразилія, Колумбія
Шлях введення   Шлях введення :Cisatracurium besylate     
Маршрут
Внутрішньовенне
Безперервна інфузія

  Mentions Légales