Viimeisin päivitys :
27/01/2026
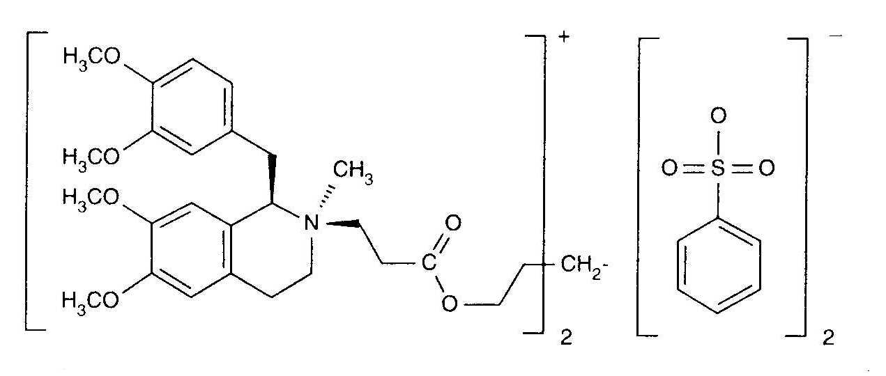
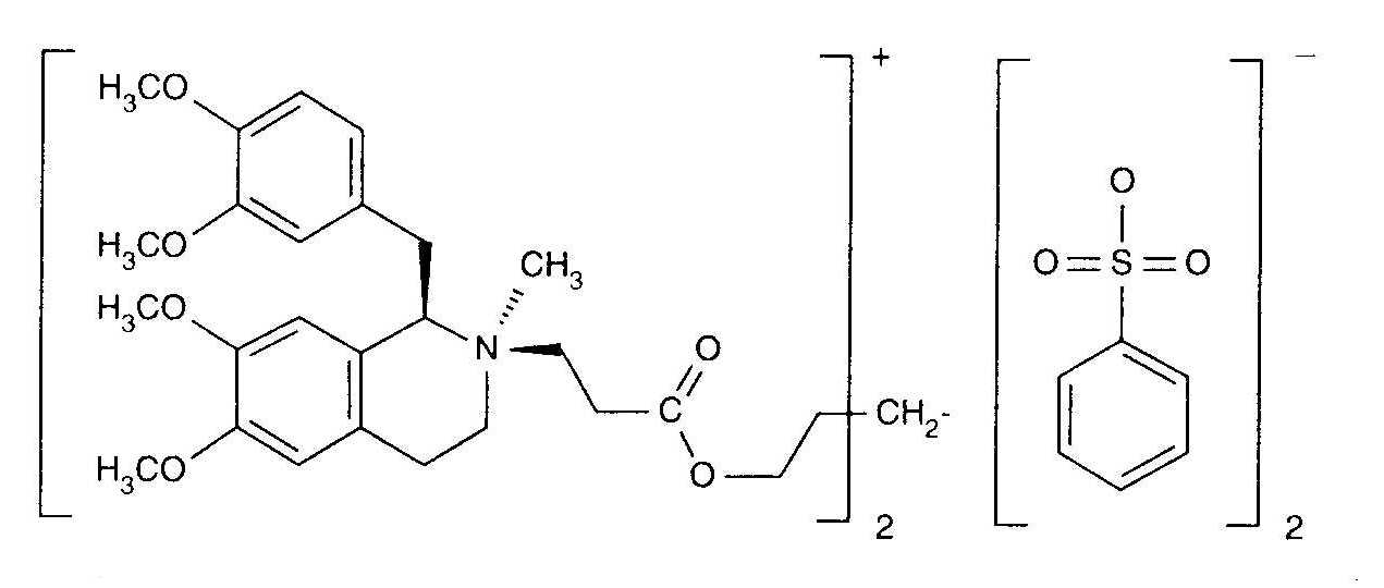
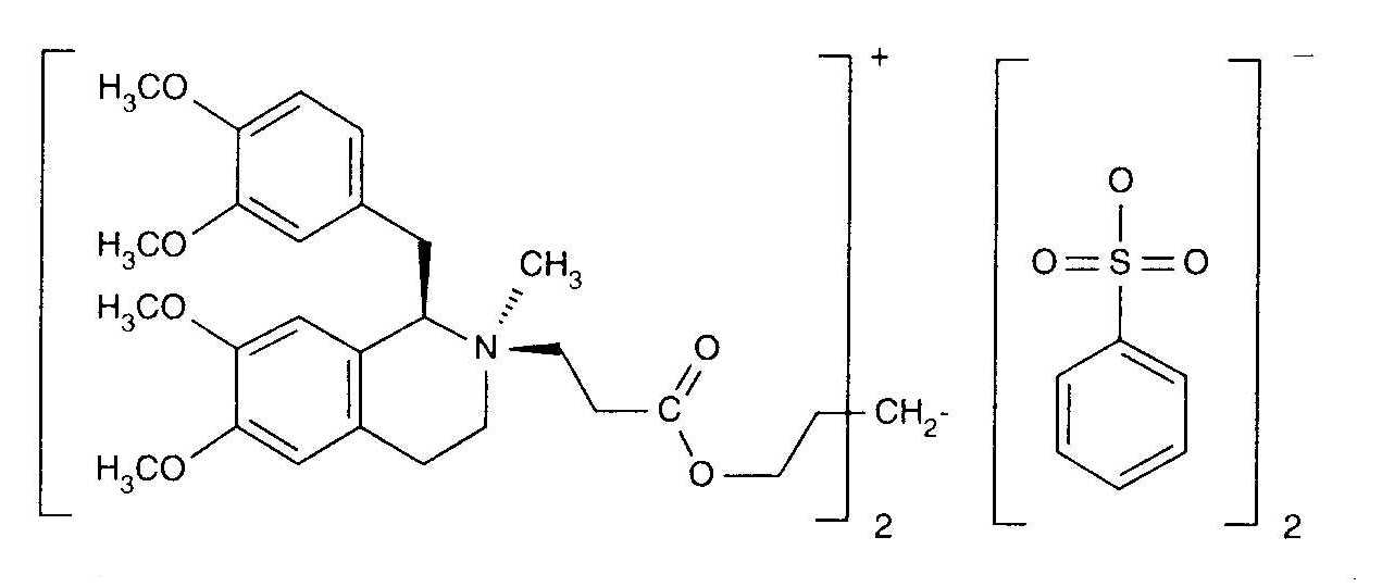
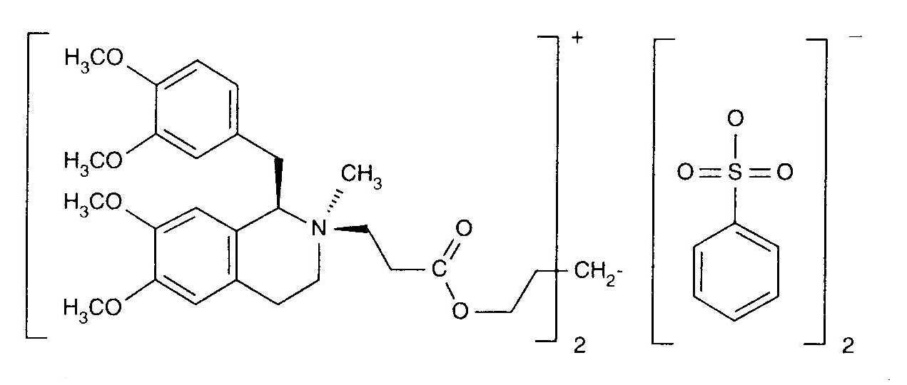
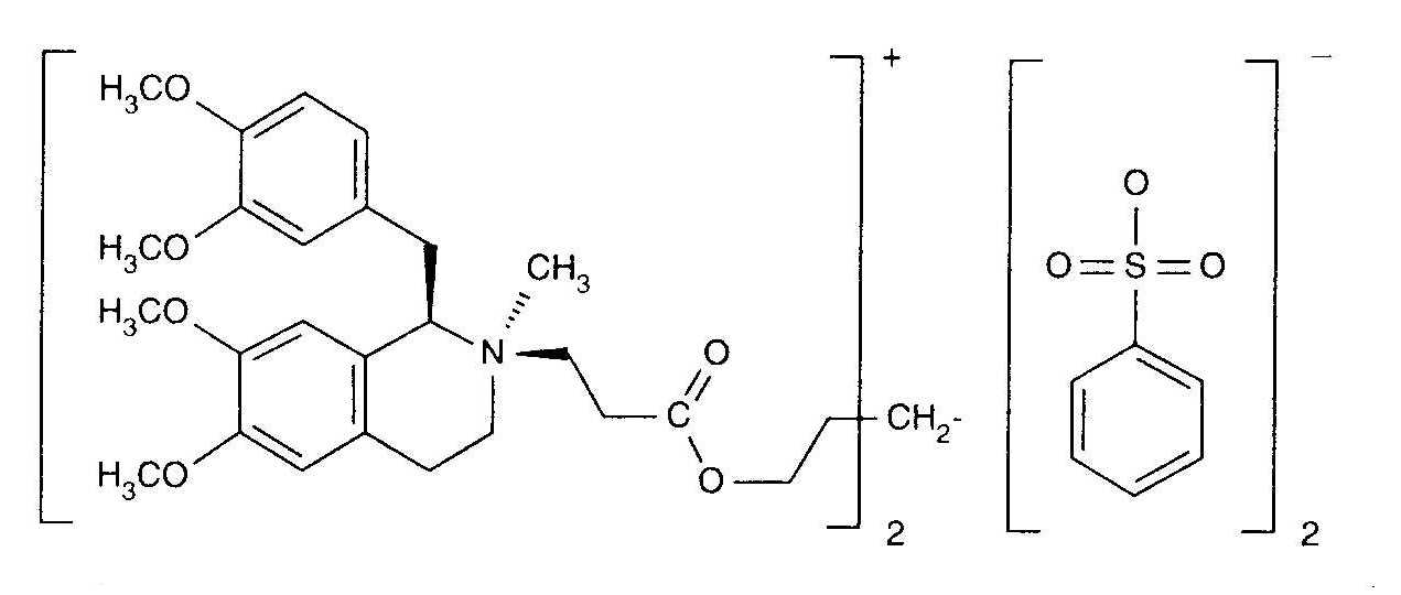
Lihasrelaksantit   Cisatracurium besylate  
Injektioneste
Stabilius liuoksessa Stabilius seoksissa Tekijät, jotka vaikuttavat stabiliuteen Yhteensopivuus Antotapa Viitteet pdf
   Kemiallinen rakenne  

Kauppanimi   Kauppanimi     

Trade names are indicative and excipients composition can be different depending on the country and manufacturers

Bensitrak Meksiko
Besilato de cisatracurio
Cicuryl Meksiko
Cirium Kolumbia
Cis Atracure
Cisatracurio Brasilia, Chile, Ecuador, Espanja, Italia, Kolumbia, Marokko
Cisatracurium Belgia, Irlanti, Iso-Britannia, Kanada, Ranska, Saksa, Suomi, Tunisia, Unkari
Nimbex Belgia, Chile, Ecuador, Egypti, Espanja, Hollanti, Iran, Irlanti, Iso-Britannia, Italia, Itävalta, Kanada, Kreikka, Luxemburg, Malesia, Marokko, Meksiko, Norja, Portugali, Puola, Ranska, Ruotsi, Saksa, Saudi-Arabia, Slovenia, Suomi, Tanska, Tunisia, Turkki, Unkari, Venezuela, Yhdistyneet arabiemiirikunnat, Yhdysvallat
Nimbium Brasilia, Kolumbia
Antotapa   Antotapa :Cisatracurium besylate     
Voie
Intravenoosi
Intravenoosi-infuusio, jatkuva

  Mentions Légales