Последно актуализиране :
27/04/2026
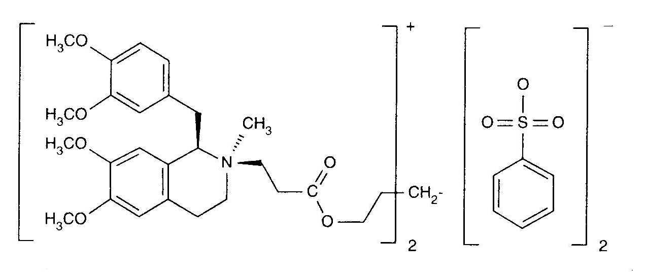
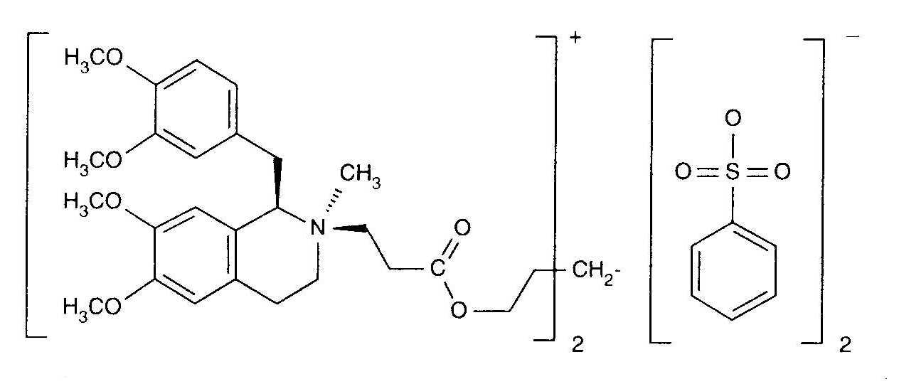
Кураре-миметик   Cisatracurium besylate  
Инжекция/Инжекционен
Стабилност на разтвори Стабилност на смеси Фактори, повлияващи стабилността Съвместимост Път на въвеждане Библиография Pdf
   Химична структура  

Търговско наименование   Търговско наименование     

Търговските имена са примерни и съставът на помощните вещества може да бъде различен в зависимост от държавата и лабораториите

Bensitrak Мексико
Besilato de cisatracurio
Cicuryl Мексико
Cirium Колумбия
Cis Atracure
Cisatracurio Бразилия, Еквадор, Испания, Италия, Колумбия, Перу, Чили
Cisatracurium Белгия, Великобритания, Германия, Ирландия, Канада, Тунис, Унгария, Финландия, Франция
Nimbex Австрия, Белгия, Великобритания, Венецуела, Германия, Гърция, Дания, Египет, Еквадор, Иран, Ирландия, Испания, Италия, Канада, Люксенбург, Малайзия, Мексико, Норвегия, Обединени арабски емирства, Перу, Полша, Португалия, Саудитска Арабия, Словения, Съединени Американски щати / САЩ, Тунис, Турция, Унгария, Финландия, Франция, Холандия, Чили, Швеция
Nimbium Бразилия, Колумбия
Път на въвеждане   Път на въвеждане :Cisatracurium besylate     
Voie
Интравенозно
Продължителна инфузия

  Mentions Légales