Ultimo aggiornamento :
27/01/2026
Curarizzante   Cisatracurium besylate  
Iniezione
Stabilità in soluzione Stabilità in miscela Fattori che influenzano la stabilità Compatibilità metodo di iniezione Bibliografia pdf
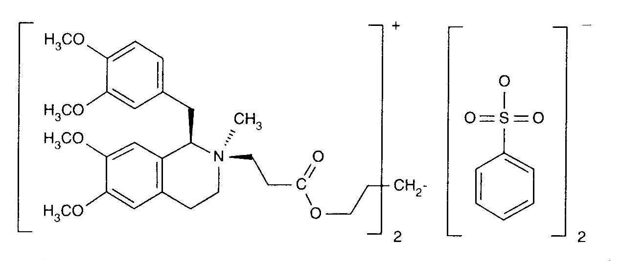
   Struttura chimica  

Nome commerciale   Nome commerciale     

Trade names are indicative and excipients composition can be different depending on the country and manufacturers

Bensitrak Messico
Besilato de cisatracurio
Cicuryl Messico
Cirium Colombia
Cis Atracure
Cisatracurio Brasile, Chile, Colombia, Ecuador, Italia, Perù, Spagna
Cisatracurium Belgio, Canada, Finlandia, Francia, Germania, Gran Bretagna, Irlanda, Tunisia, Ungheria
Nimbex Arabia Saudita, Austria, Belgio, Canada, Chile, Danimarca, Ecuador, Egitto, Emirati Arabi Uniti, Finlandia, Francia, Germania, Gran Bretagna, Grecia, Iran, Irlanda, Italia, Lussemburgo, Malaysia, Messico, Norvegia, Paesi Bassi, Perù, Polonia, Portogallo, Slovenia, Spagna, Stati Uniti d’America, Svezia, Tunisia, Turchia, Ungheria, Venezuela
Nimbium Brasile, Colombia
metodo di iniezione   metodo di iniezione :Cisatracurium besylate     
Voie
Endovenosa
Flebo continua

  Mentions Légales