آخر تحديث :
27/01/2026
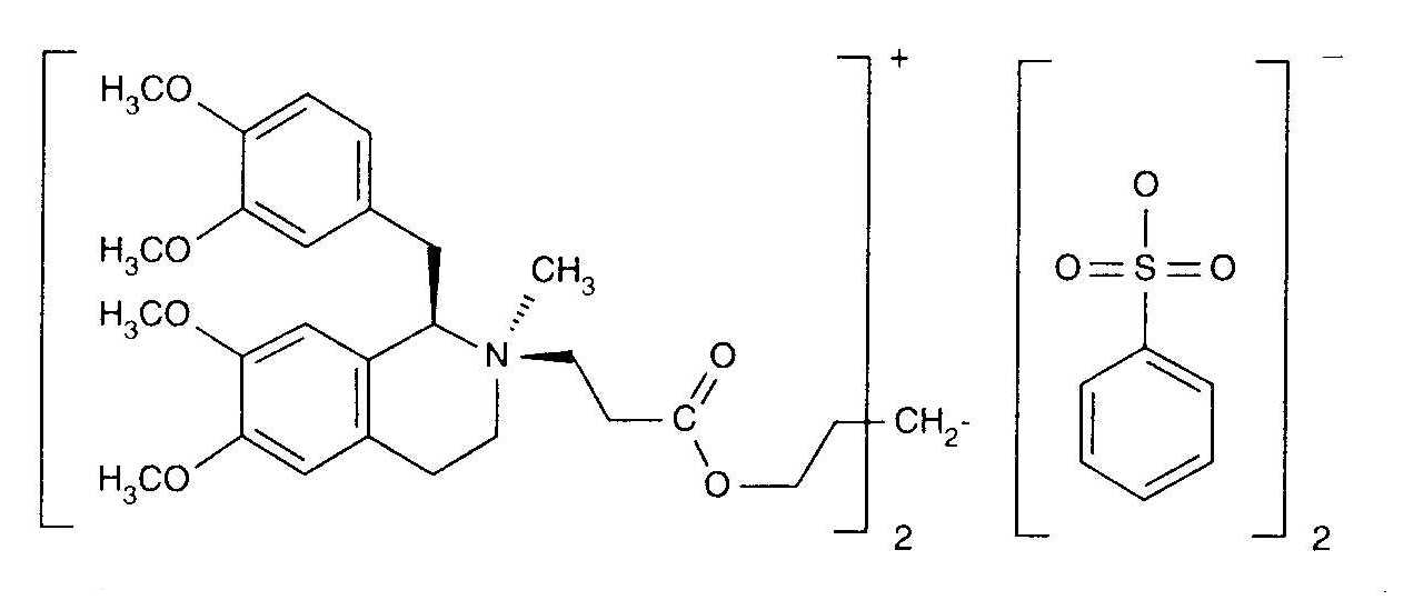
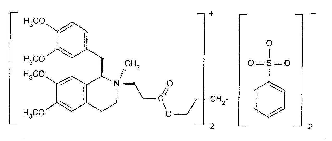
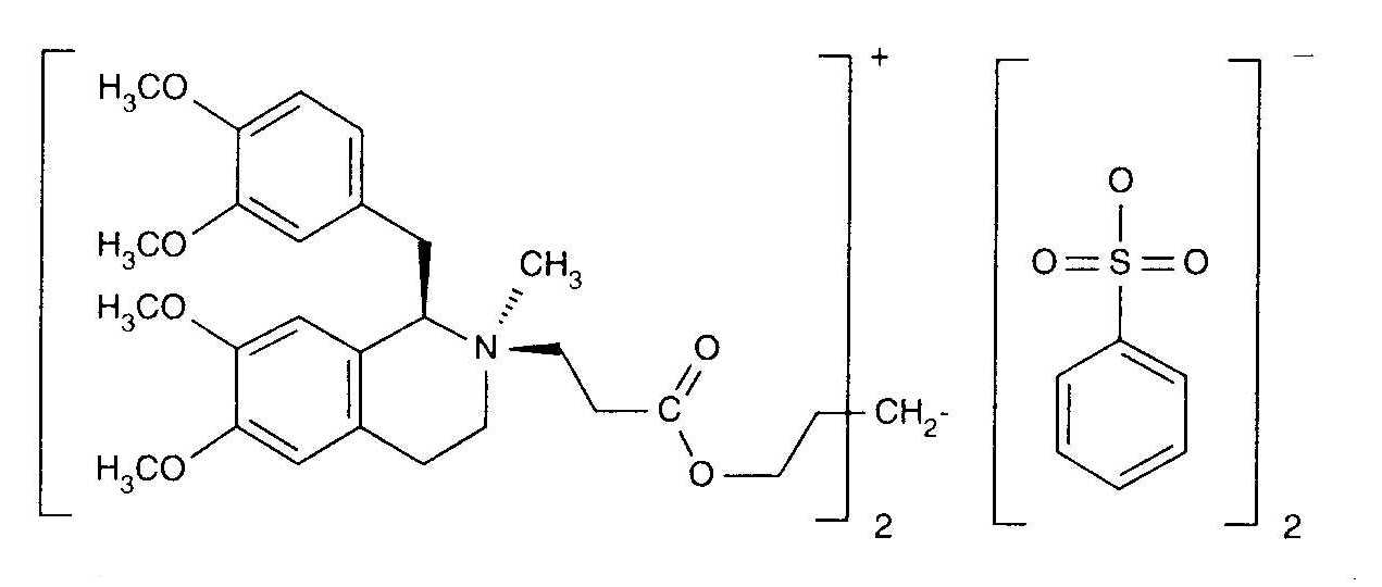
 أدوية علاجيه   Cisatracurium besylate  
حقن
الاستقرار في حلول استقرار مخاليط العوامل التي تؤثر على الاستقرار التوافق طريقة التعاطي مراجع pdf
   التركيب الكيميائي  

حجز الاسم التجاري   حجز الاسم التجاري     

تحذير الأسماء التجاريه المختلفه قد تحتوي علي محتوي إضافات مختلفة حسب الدوله و المعمل

Bensitrak المكسيك
Besilato de cisatracurio
Cicuryl المكسيك
Cirium كولومبيا
Cis Atracure
Cisatracurio إسبانيا, إيطاليا, الإكوادور, البرازيل, بيرو, تشيلي, كولومبيا
Cisatracurium ألمانيا, ايرلندا, بريطانيا العظمي, بلجيكا, تونس, فرنسا, فنلندا, كندا, هنغاريا
Nimbex ألمانيا, إسبانيا, إيران, إيطاليا, الإكوادور, الإمارات العربية المتحدة, البرتغال, الدنمارك, السويد, العربية السعودية, المكسيك, النرويج, النمسا, الولايات المتحدة, ايرلندا, بريطانيا العظمي, بلجيكا, بولندا, بيرو, تركيا, تشيلي, تونس, سلوفينيا, فرنسا, فنزويلا, فنلندا, كندا, لوكسمبورغ, ماليزيا, مصر, هنغاريا, هولندا, يونان
Nimbium البرازيل, كولومبيا
طريقة التعاطي   طريقة التعاطي :Cisatracurium besylate     
Voie
وريدي
الحقن المستمر

  Mentions Légales