Siste oppdatering :
27/01/2026
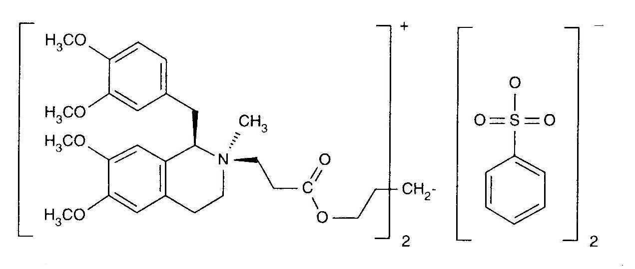
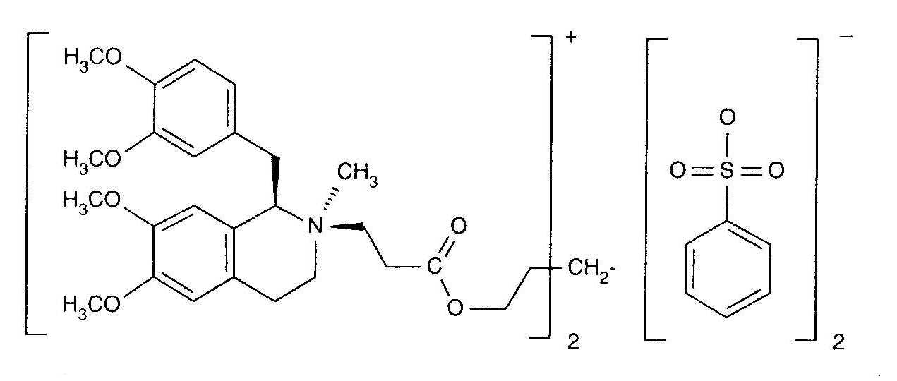
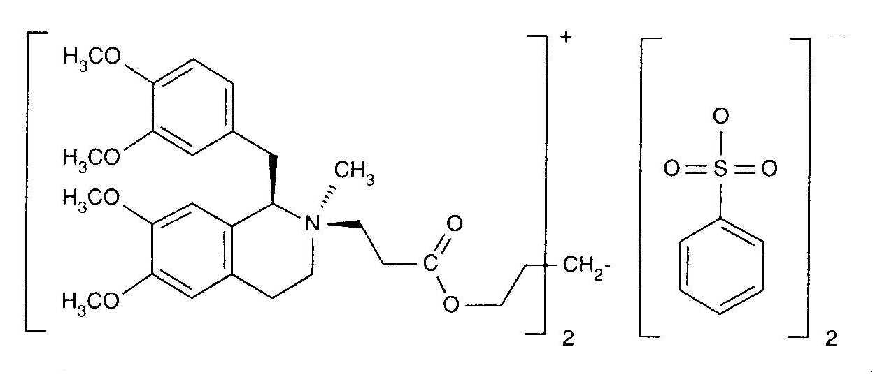
Kurarelignende middel   Cisatracurium besylate  
Injeksjon
Oppløsningsstabilitet Stabilitet i blandinger Faktorer som påvirker stabiliteten Kompatibilitet Administrasjonsmåte Referanser pdf
   Kjemisk struktur  

Handelsnavn   Handelsnavn     

Handelsnavn er veiledende og sammensetning av hjelpestoffer kan være forskjellig avhengig av land og produsent

Bensitrak Mexico
Besilato de cisatracurio
Cicuryl Mexico
Cirium Colombia
Cis Atracure
Cisatracurio Brasil, Chile, Colombia, Ecuador, Italia, Peru, Spania
Cisatracurium Belgia, Canada, Finland, Frankrike, Irland, Storbritannia, Tunisia, Tyskland, Ungarn
Nimbex Belgia, Canada, Chile, Danmark, De forente arabiske emirater, Ecuador, Egypt, Finland, Frankrike, Hellas, Iran, Irland, Italia, Luxembourg, Malaysia, Mexico, Nederland, Norge, Peru, Polen, Portugal, Saudi-Arabia, Slovenia, Spania, Storbritannia, Sverige, Tunisia, Tyrkia, Tyskland, Ungarn, USA, Venezuela, Østerrike
Nimbium Brasil, Colombia
Administrasjonsmåte   Administrasjonsmåte :Cisatracurium besylate     
Voie
Intravenøs
Kontinuerlig infusjon

  Mentions Légales