viimane versioon :
27/01/2026
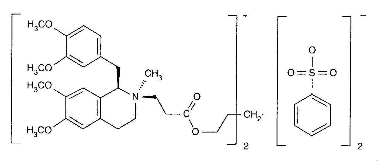
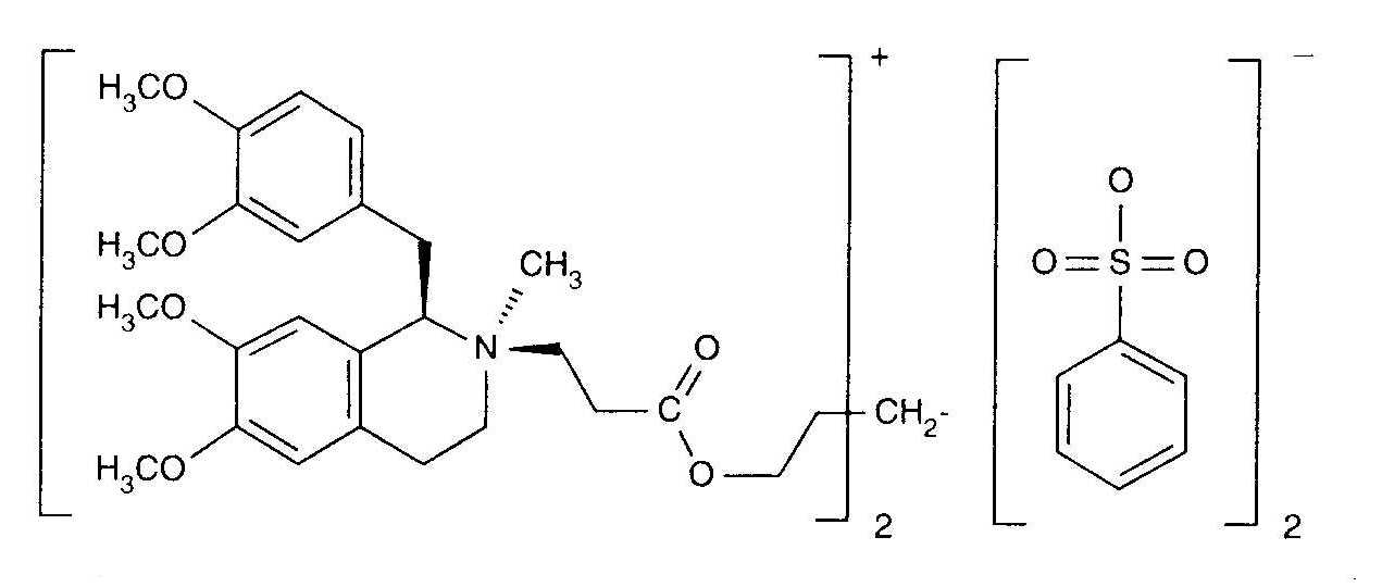
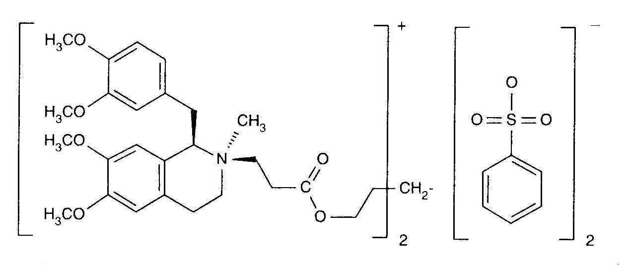
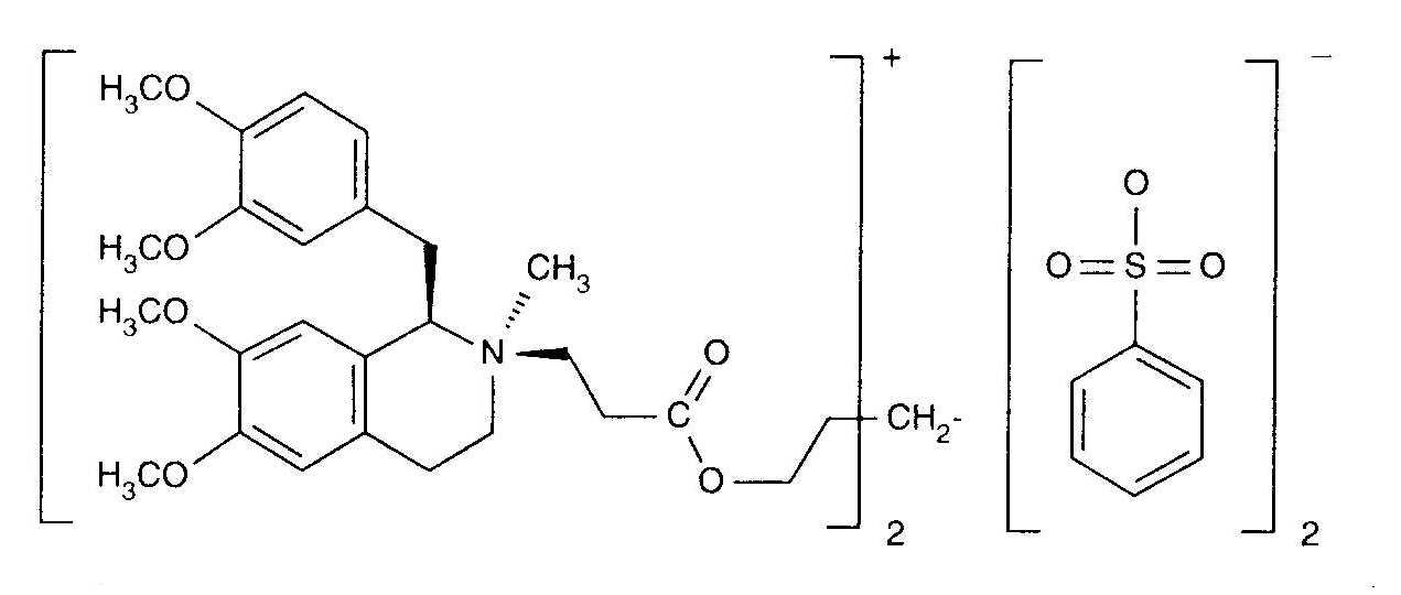
Kuraare-taoline  ravim   Cisatracurium besylate  
Süsteravim
Stabiilsus lahustes Stabiilsust mõjutavad tegurid stabiilsust mõjutavad faktorid Sobimatus Manustamis viis Viited pdf
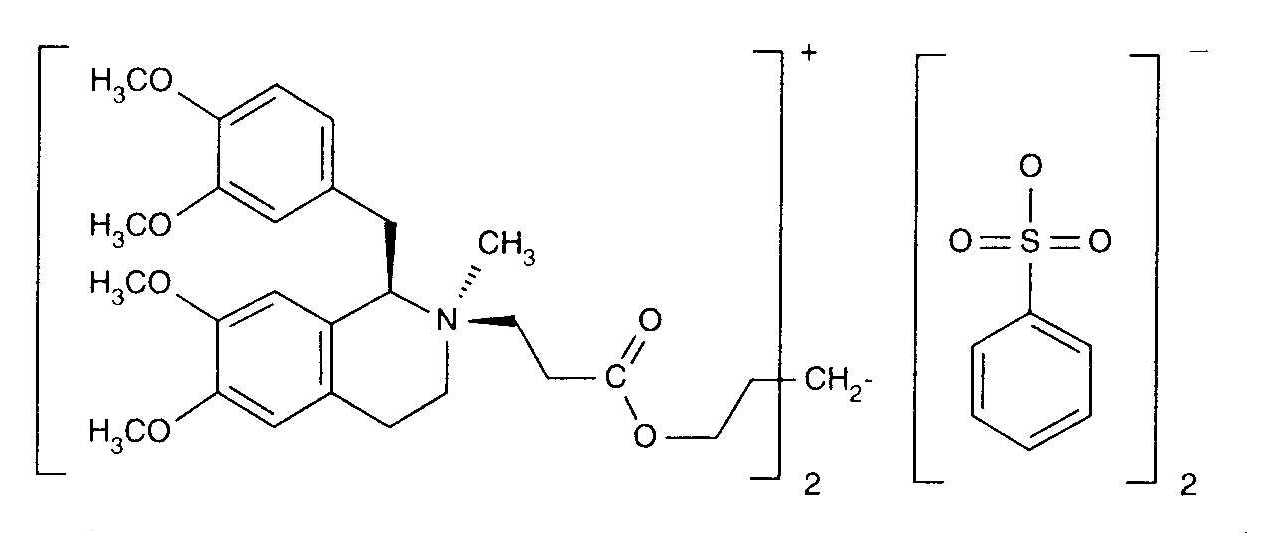
   keemiline struktuur  

Kaubanduslikud nimed erinevates maades   Kaubanduslikud nimed erinevates maades     

Preparaatide nimed on näitlikud ja abianete sisaldus võib erineda sõltuvalt riigist ja laborist

Bensitrak Mehhiko
Besilato de cisatracurio
Cicuryl Mehhiko
Cirium Kolumbia
Cis Atracure
Cisatracurio Brasiilia, Ecuador, Hispaania, Itaalia, Kolumbia, Maroko, Tšiili
Cisatracurium Belgia, Iirimaa, Kanada, Prantsusmaa, Saksamaa, Soome, Suurbritannia, Tuneesia, Ungari
Nimbex Ameerika ühendriigid, Araabia Ühendemiraadid, Austria, Belgia, Ecuador, Egiptus, Hispaania, Holland, Iirimaa, Iraan, Itaalia, Kanada, Kreeka, Luksemburg, Malaisia, Maroko, Mehhiko, Norra, Poola, Portugal, Prantsusmaa, Rootsi, Saksamaa, Saudi Araabia, Sloveenia, Soome, Suurbritannia, Taani, Tšiili, Tuneesia, Türgi, Ungari, Venetsueela
Nimbium Brasiilia, Kolumbia
Manustamis viis   Manustamis viis :Cisatracurium besylate     
Voie
intravenoosne
pidevinfusioon

  Mentions Légales