Ultimele actualizari :
27/04/2026
Curarizant   Cisatracurium besylate  
Injectabil
Stabilitatea in solutie Stabilitatea in amestec Factorii care influenteaza stabilitatea Compatibilitate Microunde Bibliografie pdf
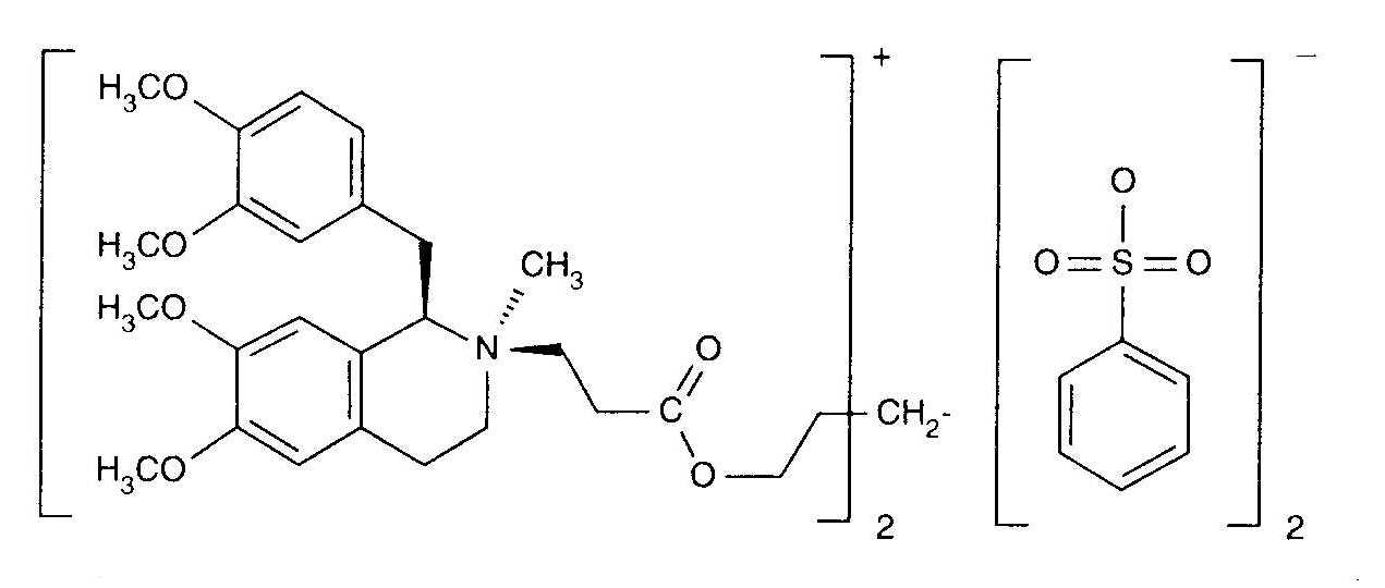
   Formula chimica  

Denumirea comerciala   Denumirea comerciala     

Trade names are indicative and excipients composition can be different depending on the country and manufacturers

Bensitrak Mexic
Besilato de cisatracurio
Cicuryl Mexic
Cirium Columbia
Cis Atracure
Cisatracurio Brazilia, Chilli, Columbia, Ecuador, Italia, Peru, Spania
Cisatracurium Belgia, Canada, Finlanda, Franta, Germania, Irlanda, Marea Britanie, Tunisia, Ungaria
Nimbex Arabia Saudita, Austria, Belgia, Canada, Chilli, Danemarca, Ecuador, Egipt, Emiratele Arabe Unite, Finlanda, Franta, Germania, Grecia, Iran, Irlanda, Italia, Luxemburg, Malaezia, Marea Britanie, Mexic, Norvegia, Olanda, Peru, Polonia, Portugalia, Slovenia, Spania, SUA, Suedia, Tunisia, Turcia, Ungaria, Venezuela
Nimbium Brazilia, Columbia
Microunde   Microunde :Cisatracurium besylate     
Voie
Intravenos
Perfuzie in continuu

  Mentions Légales