Останнє оновлення :
27/01/2026
Протипухлинний препарат   Etoposide phosphate  
ін'єкція
Стійкість в розчинах Стійкість сумішей Фактори, що впливають на стабільність Сумісність Шлях введення Список літератури pdf
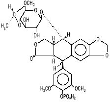
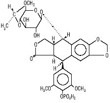
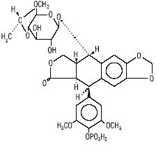
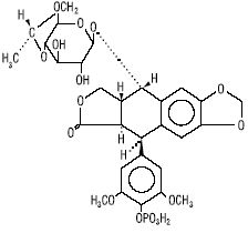
   Хімічна структура  

Торгова назва   Торгова назва     

Торгові назви є орієнтовними, а склад допоміжних речовин може бути різним залежно від країни та виробника

Etopofos Австрія, Греція, Швеція
Etopophos Ізраїль, Бельгія, Болгарія, Великобританія, Люксембург, Нідерланди, Німеччина, Нова Зеландія, Польща, Сполучені Штати Америки, Франція, Швейцарія

Фактори, що впливають на стабільність   ін'єкція   Фактори, що впливають на стабільність : Etoposide phosphate        
7 / 5 000 Résultats de traduction Немає даних

  Mentions Légales