Laatste update :
27/01/2026
geneesmiddel tegen kanker   Etoposide phosphate  
injecteerbaar geneesmiddel
Stabiliteit in oplossing Stabiliteit in mengsels Factoren die de stabiliteit beïnvloeden Verenigbaarheden Toedieningswijze Literatuur pdf
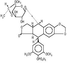
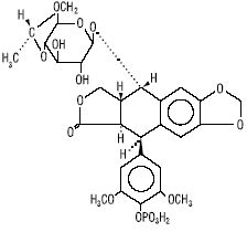
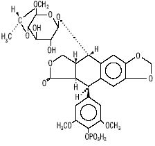
   Molecuulstructuur  

Merknamen in verschillende landen   Merknamen in verschillende landen     

Handelsnamen zijn slechts een indicatie; de samenstelling van hulpstoffen kan per land variëren afhankelijk van de fabrikant

Etopofos Griekenland, Oostenrijk, Zweden
Etopophos België, Bulgarije, Duitsland, Frankrijk, Groot Britannië, Israël, Luxemburg, Nederland, nieuw Zeeland, Polen, USA, Zwitserland

Factoren die de stabiliteit beïnvloeden   injecteerbaar geneesmiddel   Factoren die de stabiliteit beïnvloeden : Etoposide phosphate        
geen gegevens

  Mentions Légales