Siste oppdatering :
27/01/2026
kreft narkotika   Etoposide phosphate  
Injeksjon
Oppløsningsstabilitet Stabilitet i blandinger Faktorer som påvirker stabiliteten Kompatibilitet Administrasjonsmåte Referanser pdf
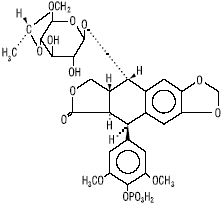
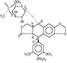
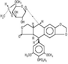
   Kjemisk struktur  

Handelsnavn   Handelsnavn     

Handelsnavn er veiledende og sammensetning av hjelpestoffer kan være forskjellig avhengig av land og produsent

Etopofos Hellas, Sverige, Østerrike
Etopophos Belgia, Bulgaria, Frankrike, Israel, Luxembourg, Nederland, New Zealand, Polen, Storbritannia, Sveits, Tyskland, USA

Faktorer som påvirker stabiliteten   Injeksjon   Faktorer som påvirker stabiliteten : Etoposide phosphate        
Ingen opplysninger

  Mentions Légales