Ostatnia aktualizacja :
27/01/2026
Lek cytostatyk   Etoposide phosphate  
Injekcje
Trwałość roztworów Trwałość w mieszaninie Czynnik wpływający na trwałość Zgodność Sposób podania Bibliografia pdf
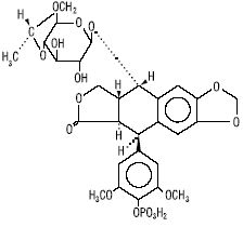
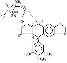
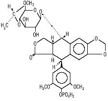
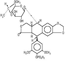
   Struktura chemiczna  

Nazwa handlowa   Nazwa handlowa     

Trade names are indicative and excipients composition can be different depending on the country and manufacturers

Etopofos Austria, Grecja, Szwecja
Etopophos Belgia, Bułgaria, Francja , Holandia, Israël, Luksemburg, Niemcy, nowa Zelandia, Polska, Stany Zjednoczone Ameryki, Szwajcaria, Wielka Brytania

Czynnik wpływający na trwałość   Injekcje   Czynnik wpływający na trwałość : Etoposide phosphate        
Brak danych

  Mentions Légales