Son güncelleme :
27/01/2026
kanser ilaç   Etoposide phosphate  
Enjeksiyon
Çözeltilerin stabilitesi Karışımlardaki stabilitesi Stabiliteyi etkileyen faktörler Uyumluluk Uygulama yöntemi Kaynaklar pdf
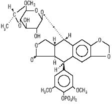
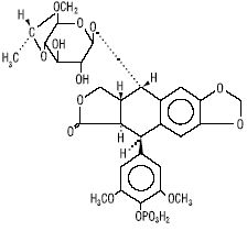
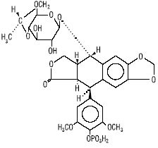
   Kimyasal yapı   

Ticari isim   Ticari isim     

Trade names are indicative and excipients composition can be different depending on the country and manufacturers

Etopofos Avusturya, İsveç, Yunanistan
Etopophos Almanya, Amerika Birleşik Devletleri, Belçika, Bulgaristan, Büyük Britanya, Fransa, Hollanda, İsrail, İsviçre, Lüksemburg, Polonya, yeni Zelanda

Stabiliteyi etkileyen faktörler    Enjeksiyon    Stabiliteyi etkileyen faktörler : Etoposide phosphate        
veri yok

  Mentions Légales