Seneste opdatering :
27/01/2026
anticancer medicin   Etoposide phosphate  
Injektion
Stabilitet i (vandige) opløsninger Stabilitet i blandinger Faktorer der påvirker stabiliteten Kompatibilitet Administrationsvej Bibliografi pdf
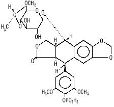
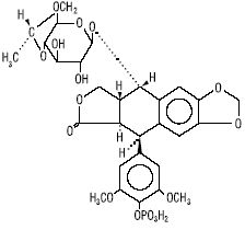
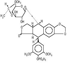
   Kemisk struktur  

Handelsnavn   Handelsnavn     

Handel navne er vejledende og hjælpestoffer sammensætning kan være forskellig afhængigt af landet og laboratorier

Etopofos Grækenland, Sverige, Østrig
Etopophos Belgien, Bulgarien, Frankrig, Holland, Israel, Luxemborg, New Zealand, Polen, Schweiz, Storbritanien, Tyskland, USA

Faktorer der påvirker stabiliteten   Injektion   Faktorer der påvirker stabiliteten : Etoposide phosphate        
Ingen data

  Mentions Légales